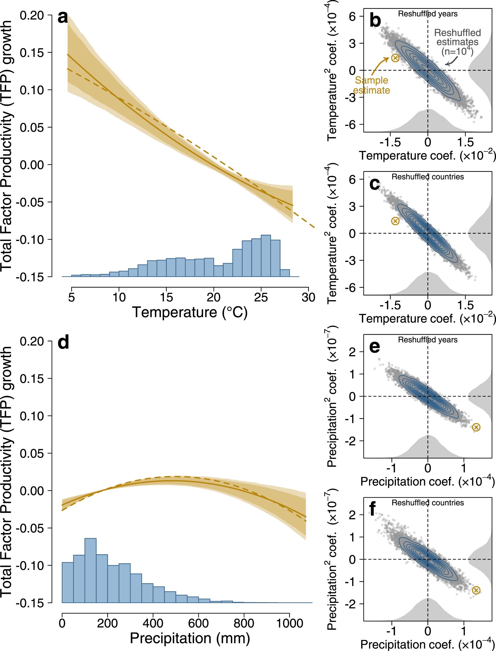
Extended Data Fig. 3: The response of agricultural productivity to weather without 10% of hottest countries.
From: Anthropogenic climate change has slowed global agricultural productivity growth

a, Response function of changes in country-level TFP to changes in green-season average T. Response functions are centered vertically so that the exposure-weighted marginal effect is zero. The baseline response function with all countries is shown in dashed lines. The coloured bands represent 90 and 95% confidence bands based on 500 year-by-region block bootstraps. The blue bars represent the country-level distribution of green-season average T over the sample period. The average green-season T is indicated for a select number of large countries. b, Panel shows the result of a placebo check whereby TFP and weather data are randomly mismatched or reshuffled by years. The distribution represents the linear and quadratic T coefficients based on 10,000 reshuffled datasets. c, Same as previous panel but based on datasets reshuffled by country. d, Response function of changes in country-level TFP to changes in green-season total P. e, Same as panel B but for P coefficients. f, Same as panel c but for P coefficients.