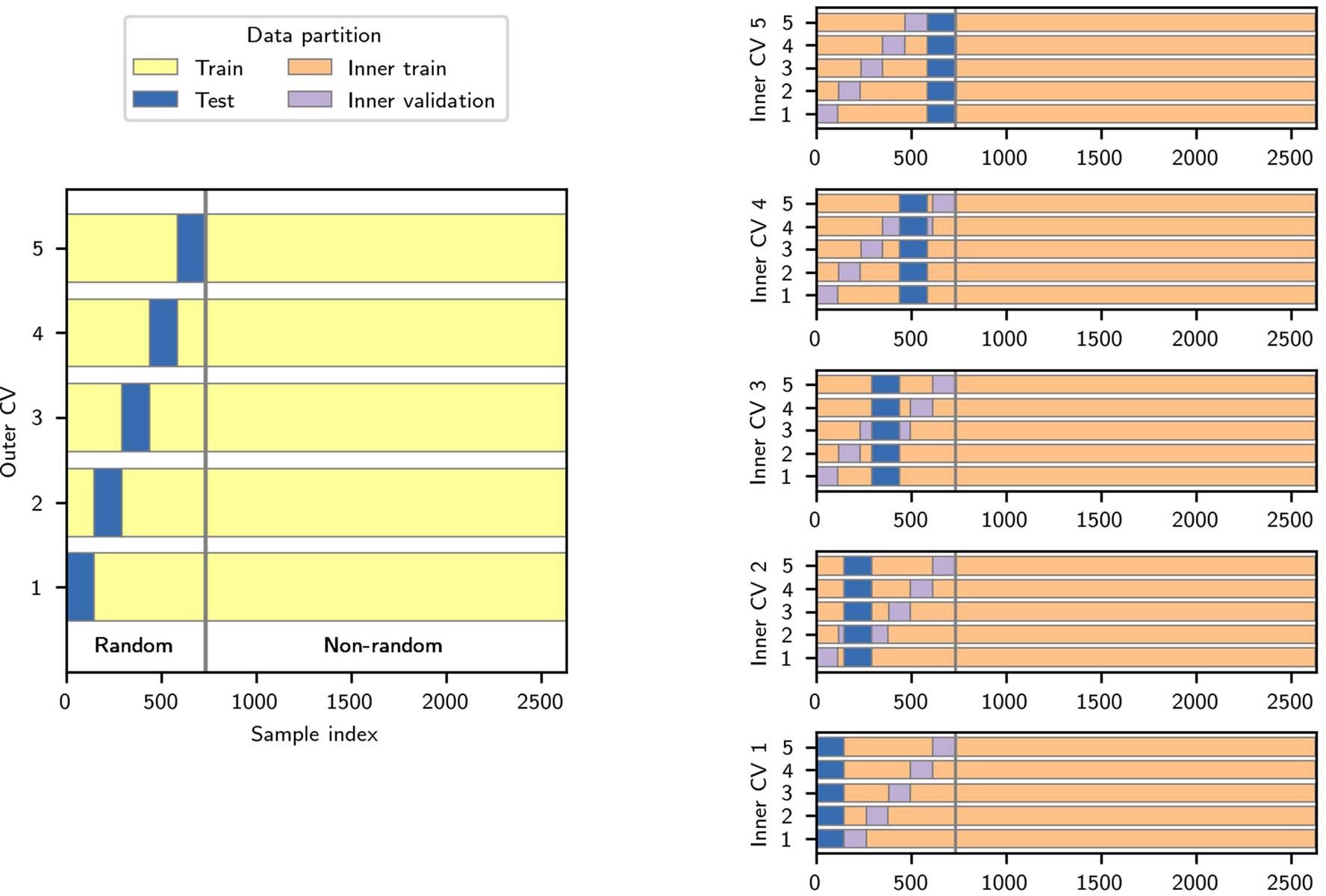
Extended Data Fig. 2: Nested cross validation (CV) procedure for the binary relevance classifier.
From: Machine-learning-based evidence and attribution mapping of 100,000 climate impact studies

Models are fit using training documents and evaluated on validation/test documents. The inner CV loop is used to search for optimal hyperparameter settings, which are then evaluated on the outer test sets.