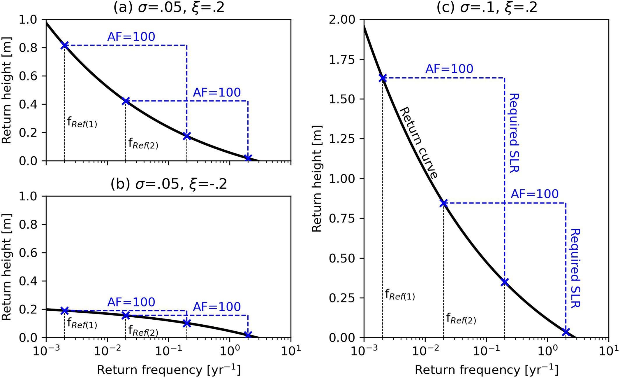
Extended Data Fig. 2: Schematic influence of distribution parameters and fRef on required SLR.
From: The timing of decreasing coastal flood protection due to sea-level rise

Schematic illustration of how the required SLR for an amplification factor of 100 (blue, vertical lines) depends on the form of the return curve (black) and on the reference return frequency fRef, for different scale (σ) and shape (ξ) parameters: a, σ = 0.05, ξ = 0.2; b, σ = 0.05, ξ = − 0.2; c, σ = 0.1, ξ = 0.2. The y-axis in c was extended to accommodate the steep return curve and large required SLR.