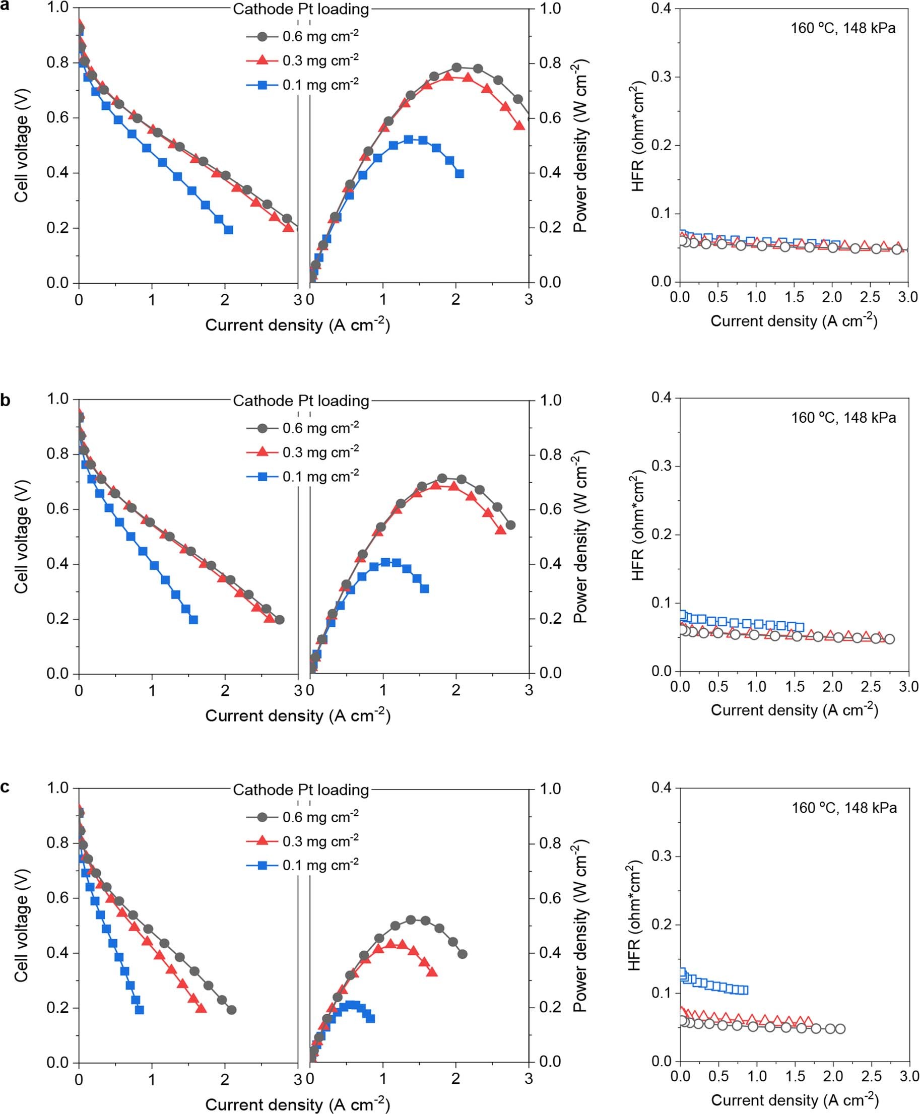
Extended Data Fig. 8: Effect of cathode catalyst loading on H2/air fuel cell performance.
From: Protonated phosphonic acid electrodes for high power heavy-duty vehicle fuel cells

Cathode catalyst: (a) HiSPEC 9100: Pt 60% on high surface area carbon (Johnson Matthey). (b) TEC10E40E: Pt 40% on high surface area carbon. (c) TEC10E20E: Pt 20% on high surface area carbon. The other MEA components: QAPOH-PA membrane (35 µm thick), anode catalyst (Pt-Ru/C, 0.5 mgPt cm-2), cathode catalyst (Pt/C, 0.1, 0.3, and 0.6 mgPt cm-2), and Nafion/PWN-1.8 ionomer (Nafion content: 0.5). The performance was measured at 160 °C under anhydrous conditions.