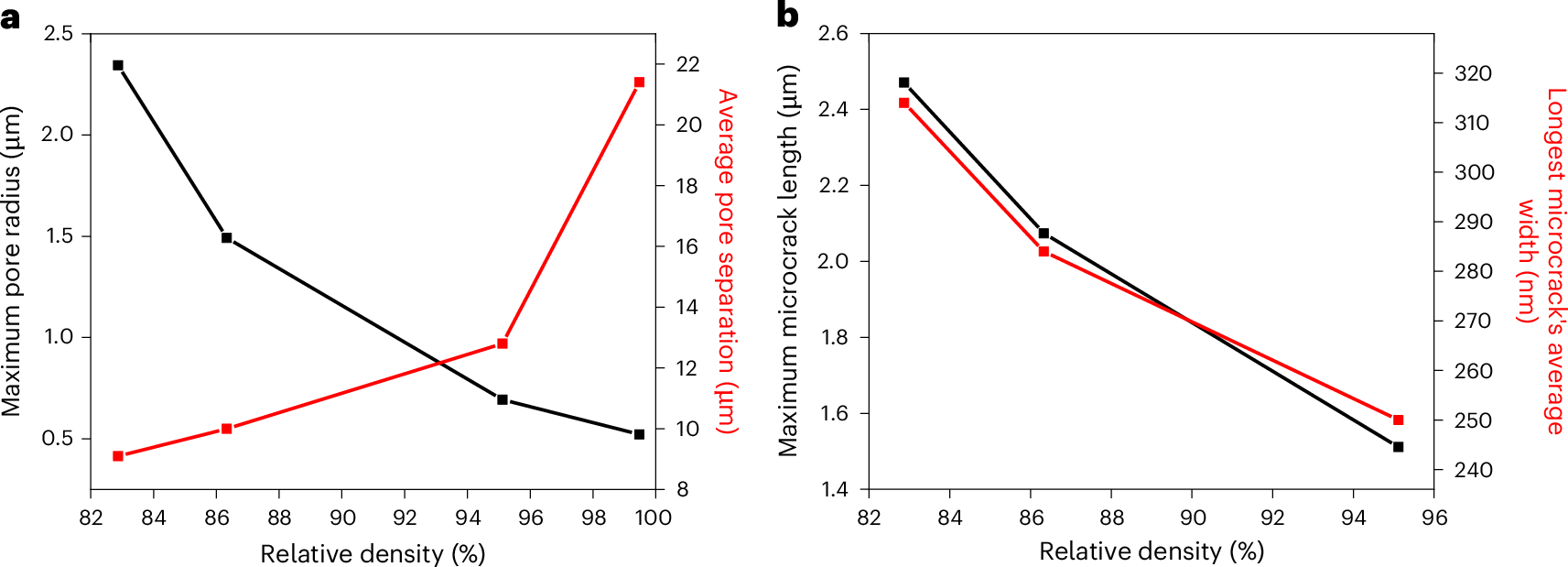
Fig. 4: Plots of how pore and crack dimensions vary with density of Li6PS5Cl constructed using values from FIB-SEM tomography.

a, The largest pore size and their average separation. b, The maximum crack length and their associated width. Black data correspond to the left y axis and red data correspond to the right y axis.