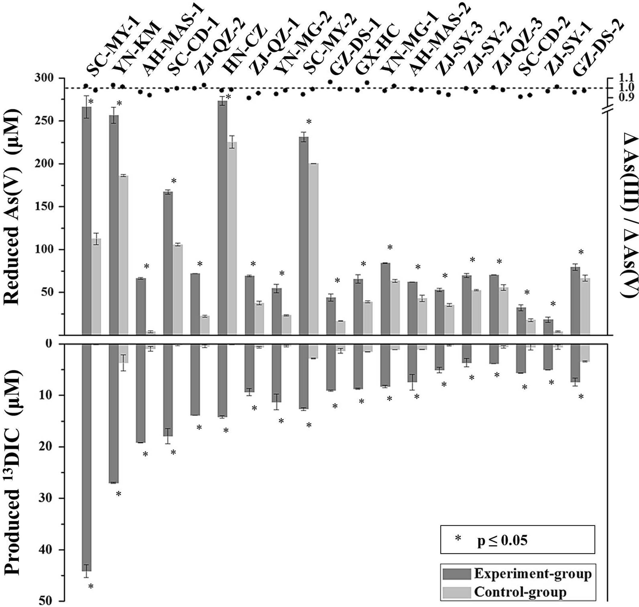
Extended Data Fig. 1: Reduced As(V) and produced 13DIC of experiments inoculated by soil samples during the whole incubation (7 days).
From: Coupled anaerobic methane oxidation and reductive arsenic mobilization in wetland soils

The main differences between these two groups are 13CH4 (top comparison) and As(V) (bottom comparison), respectively. Error bars indicate standard deviations of triplicate setups. The value of ΔAs(III)/ΔAs(V) represents the ratio of increased dissolved As(III) to decreased dissolved As(V). Asterisks indicate the statistical significance of the difference between experiment setups and corresponding control setups calculated by Kruskal-Wallis test.