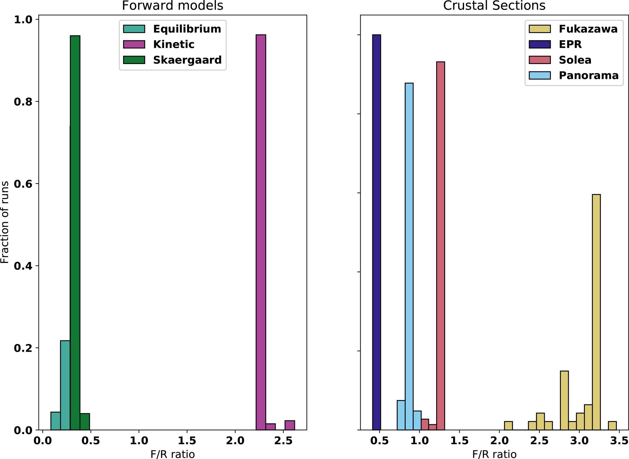
Extended Data Fig. 1: Estimated fluid rock ratios for ‘leave-one-out’ inversions.
From: Limited Archaean continental emergence reflected in an early Archaean 18O-enriched ocean

Water/rock ratio results of ‘leave-one-out’ inversions, removing one sample each time for all synthetic datasets (21; 18; 23).