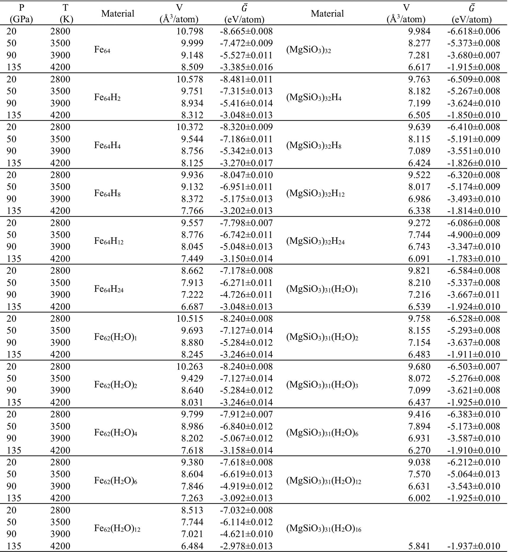
Extended Data Fig. 1: Calculated free energies.

Calculated volumes and Gibbs free energies \(\bar G\left( {p,T,x} \right)\) of iron and silicate melts with H and H2O at 20, 50, 90, and 135 GPa, corresponding to temperatures of 2800, 3500, 3900 and 4200 K, respectively.