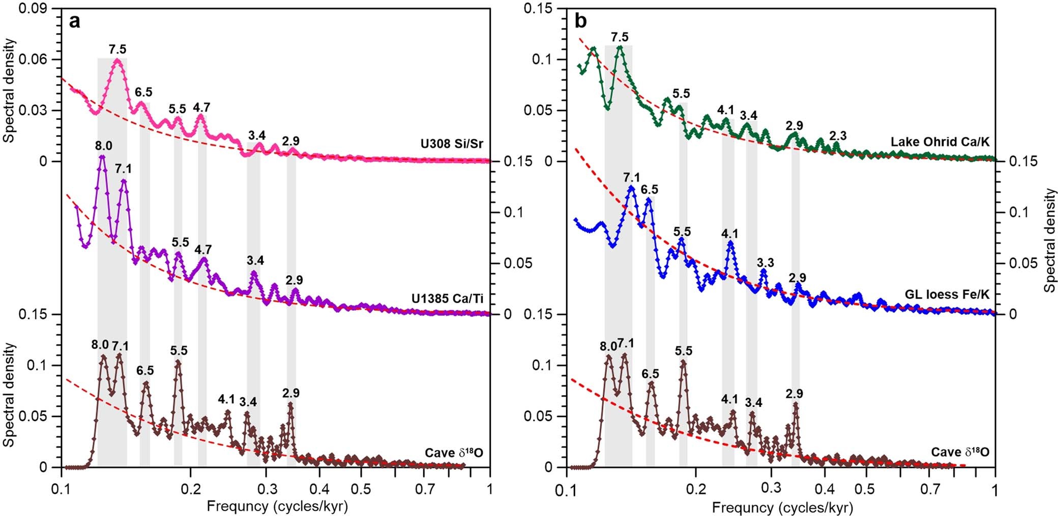
Extended Data Fig. 3: Spectral results of four elemental ratios and cave δ18O.
From: Persistent orbital influence on millennial climate variability through the Pleistocene

a, Spectral density of U1308 Si/Sr, U1385 Ca/Ti, and cave δ18O; (b) Spectral density of LO Ca/K, GL Fe/K, and cave δ18O. Grey bars denote millennial peaks above the 90% confidence level (red dashed lines).