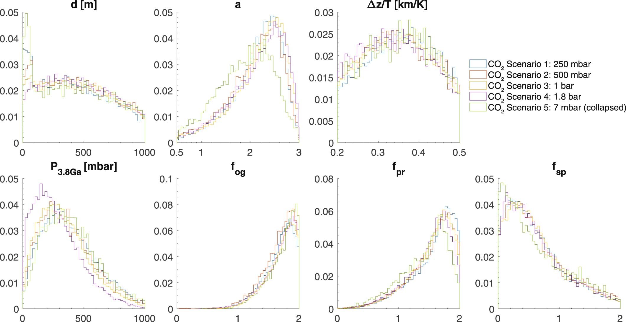
Extended Data Fig. 5: Posterior distributions of parameters from constrained MCMC simulations with the parameters and their boundaries listed in Table 1.
From: A nitrogen-rich atmosphere on ancient Mars consistent with isotopic evolution models

The MCMC simulations adopt the five representative CO2 evolution scenarios in Extended Data Fig. 2.