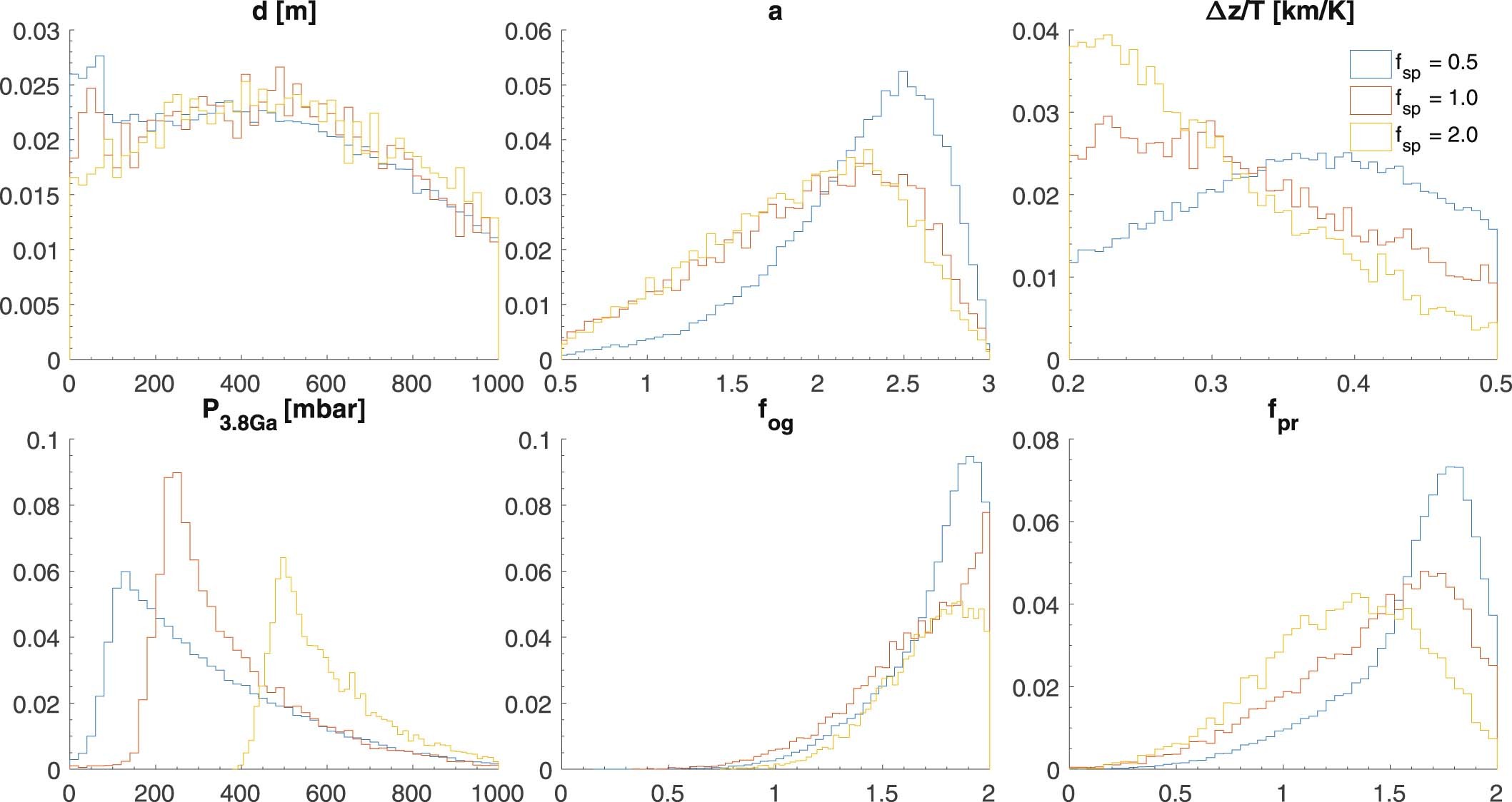
Extended Data Fig. 6: Posterior distributions of parameters from constrained MCMC simulations that fix the sputtering multiplier to be fsp=0.5, 1, and 2.
From: A nitrogen-rich atmosphere on ancient Mars consistent with isotopic evolution models

These simulations adopt the CO2 evolutionary scenario No. 3 with the initial partial pressure of 1.0 bar as shown in Extended Data Fig. 2. The initial partial pressure of N2 is more tightly constrained when the sputtering multiplier is fixed.