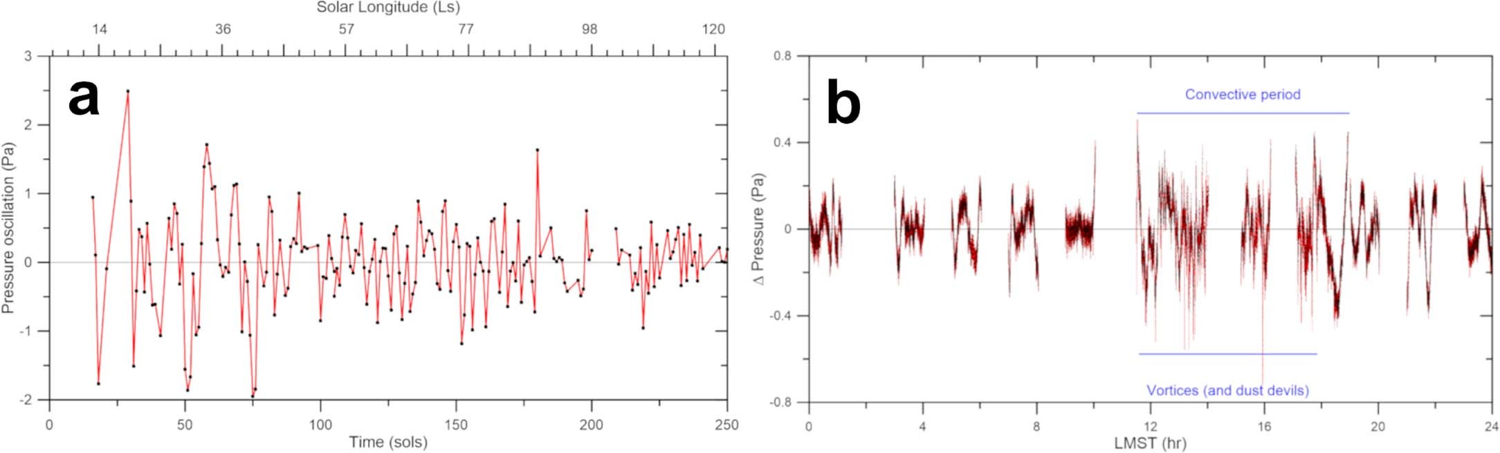
Extended Data Fig. 9: Analysis of pressure deviations recorded by MEDA.
From: The diverse meteorology of Jezero crater over the first 250 sols of Perseverance on Mars

Deviations from the recorded pressure values suggest the possibility of high-frequency traveling waves. (a) Oscillations obtained in the differences between the daily mean values in Fig. 6a and the polynomial fit of degree 5 of those values (coefficient of determination, R-squared = 0.985), where 2 intervals are observed: before and after sol ~80. (b) Oscillations obtained in the infra-daily differences. Due to their properties, these oscillations are compatible with the propagation of gravity waves.