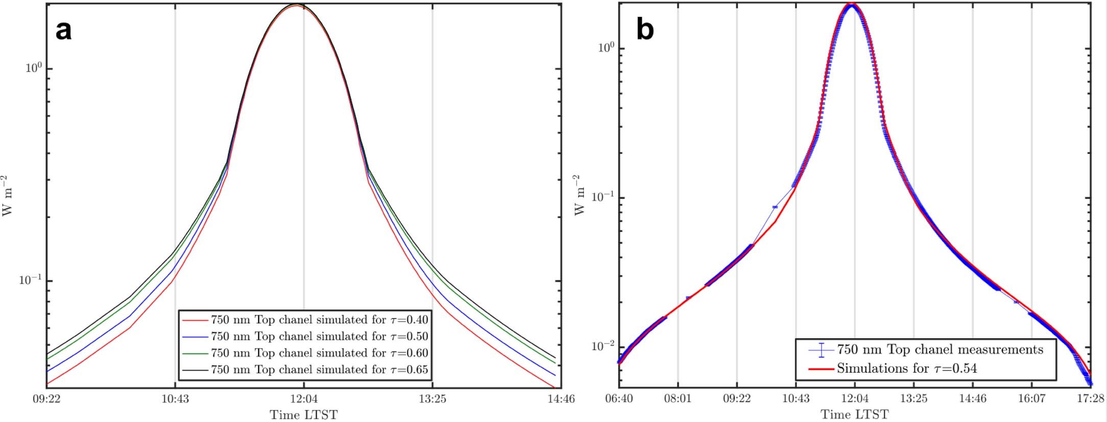
Extended Data Fig. 10: Estimation of the optical properties of atmospheric dust from RDS data.
From: The diverse meteorology of Jezero crater over the first 250 sols of Perseverance on Mars

Simulated signals for RDS Top5 channel for different opacities, and effective radius. (a) RDS Top5 channel signals simulated for different dust opacities and, a constant dust effective radius of reff = 1.2 μm. (b) Best fit between the simulations and the observations obtained.