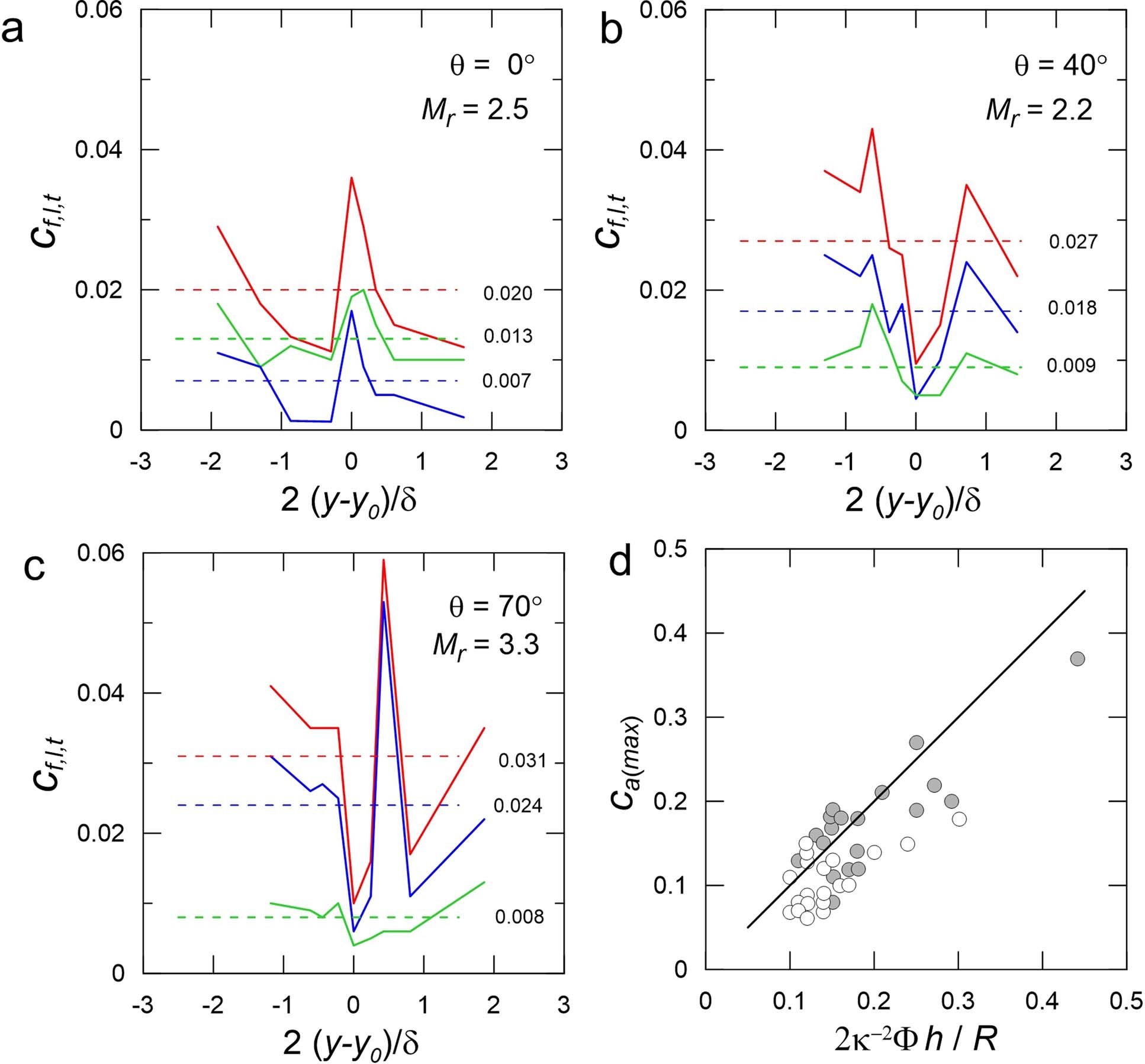
Extended Data Fig. 9: Components of flow resistance and comparison of predicted and measured maximum values of lateral advective fluxes of momentum.
From: Mixing dynamics at river confluences governed by intermodal behaviour

Contribution of lateral advective and turbulent fluxes of momentum \(c_l\) (blue lines) and bed friction \(c_f\) (green lines) to the total resistance factor \(c_t\) (red lines) as a functions of junction angle of a confluence (cross-sections 3-3’ Extended Data Fig. 1 and 6), d. Measured maximum lateral advective fluxes of momentum versus predicted (open symbols for \({\Phi}\left( {\eta = 0.8} \right)\) and closed symbols for \({\Phi}\left( {\eta = 0.1} \right)\)).