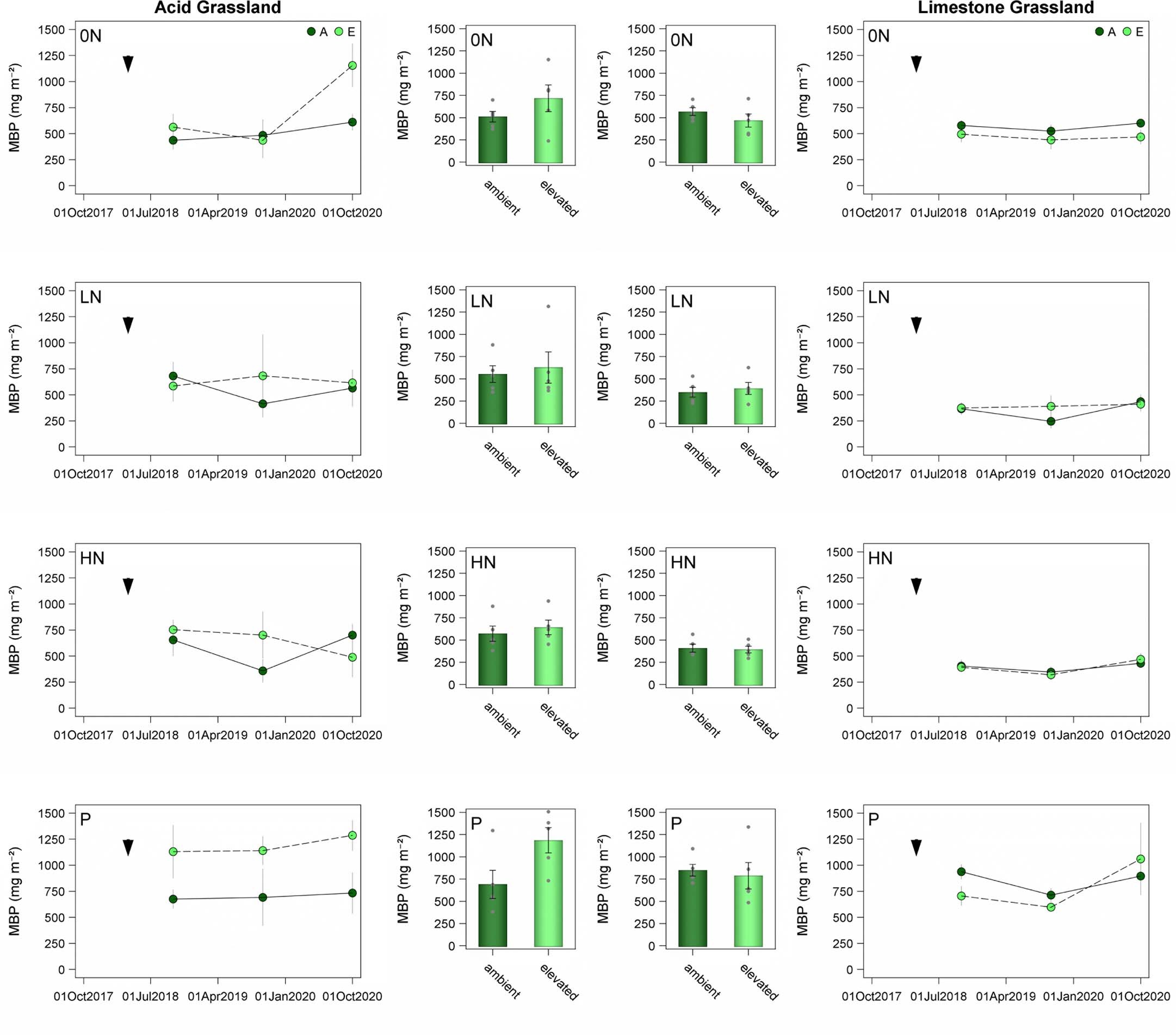
Extended Data Fig. 2: Soil microbial biomass P (MBP) responses to CO2.
From: Grassland responses to elevated CO2 determined by plant–microbe competition for phosphorus

Grasslands were exposed to ambient (a- dark green bars and filled circles) or elevated CO2 at 600 ppm (e-light green bars and filled circles), in acidic, (left hand column) and limestone grasslands, (right hand column). Data show means (± SE) in time series (n = 5) and overall mean MBP (n = 5) over the study period. Vertical arrows denote start of CO2 fumigation.