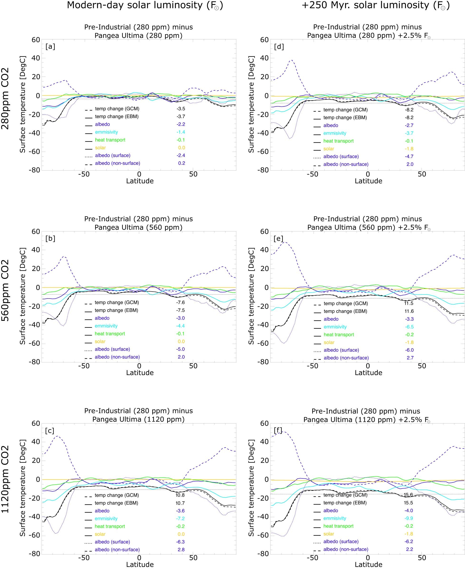
Extended Data Fig. 6: Energy balance model analysis for each experiment relative to the 280 ppm Pangea Ultima experiment.
From: Climate extremes likely to drive land mammal extinction during next supercontinent assembly

Energy balance model analysis for each simulation relative to Pangea Ultima 280ppm CO2 simulation at present day (a,b,c; column 1) and +2.5% present day solar luminosity (d,e,f; column 2) at 280 pm, 560ppm and 1120ppm CO2.