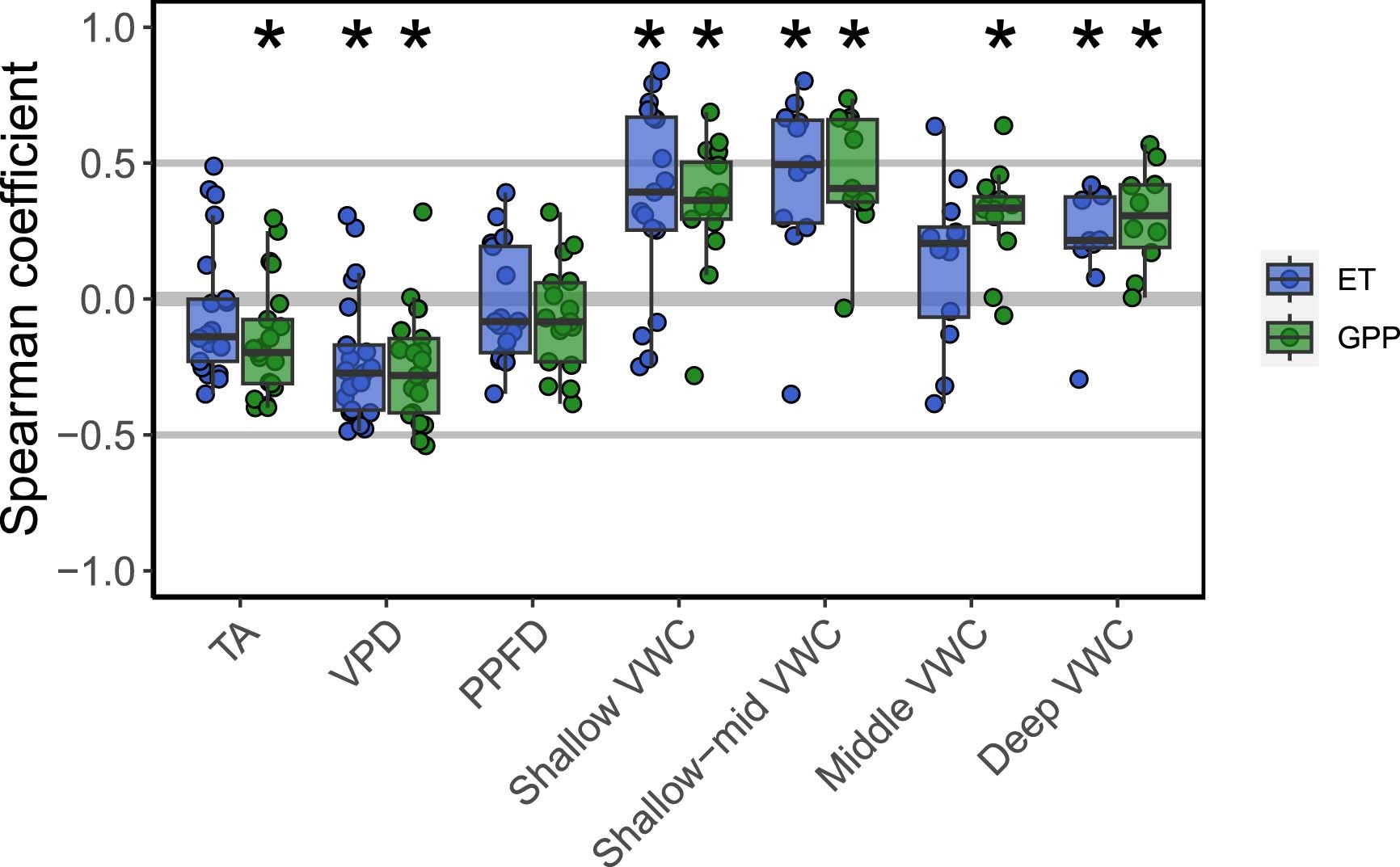
Extended Data Fig. 5: Spearman’s correlation coefficients between daily GPP/ET and environmental drivers.
From: Dominant role of soil moisture in mediating carbon and water fluxes in dryland ecosystems

Environmental drivers include air temperature (TA), vapor pressure deficit (VPD), photosynthetic photon flux density (PPFD), and various layers of volumetric water content (VWC, see Methods for the depths included in each layer). Asterisks indicate where coefficients are significantly different from zero (α = 0.05). Box plot lines represent the interquartile range and median, while the whiskers represent 1.5 times the interquartile range.