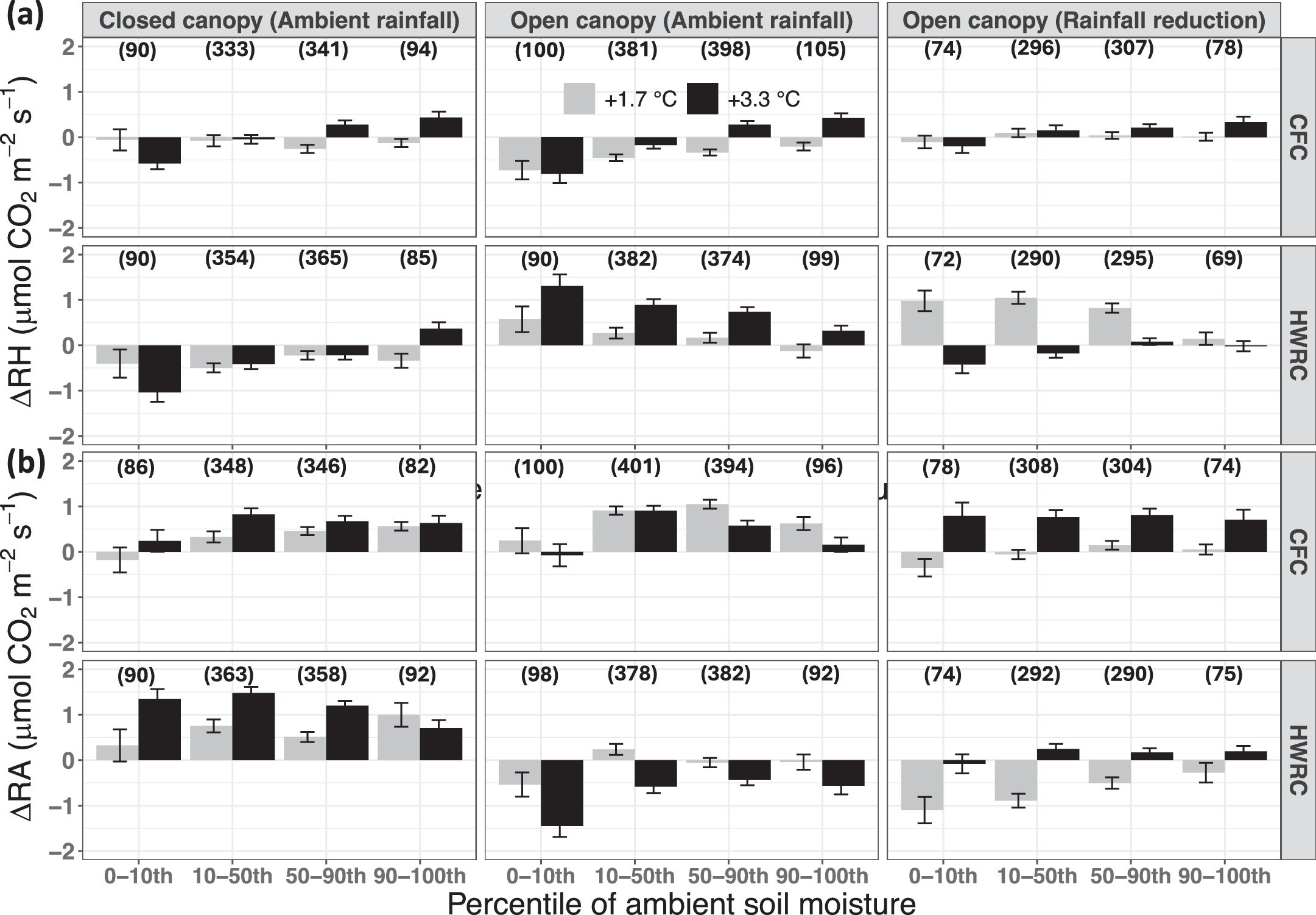
Extended Data Fig. 6: The change in soil respiration caused by experimental warming under different percentiles of ambient soil moisture.
From: Soil respiration response to decade-long warming modulated by soil moisture in a boreal forest

Panels under “Closed canopy (Ambient rainfall)” and “Open canopy (Ambient rainfall)” show results under different overstory canopy openness; panels under “Open canopy (Ambient rainfall)” and “Open canopy (Rainfall reduction)” show results under different rainfall amounts. Ambient soil moisture is soil moisture under ambient warming treatment. Panels a and b show the results of the changes in RH and RA caused by warming, respectively. The measurements of soil moisture and respiration from all campaigns over 13 years were used. RH: soil heterotrophic respiration; RA: soil autotrophic respiration. Values in the parentheses represent the sample size under different percentiles for each treatment combination.