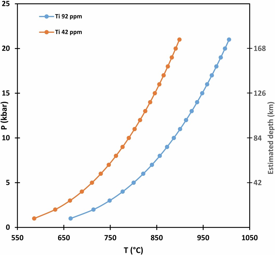
Extended Data Fig. 8: Crystallization conditions for quartz from Ti-in-quartz thermometry.
From: Evidence for pre-Noachian granitic rocks on Mars from quartz in meteorite NWA 7533
From: Evidence for pre-Noachian granitic rocks on Mars from quartz in meteorite NWA 7533