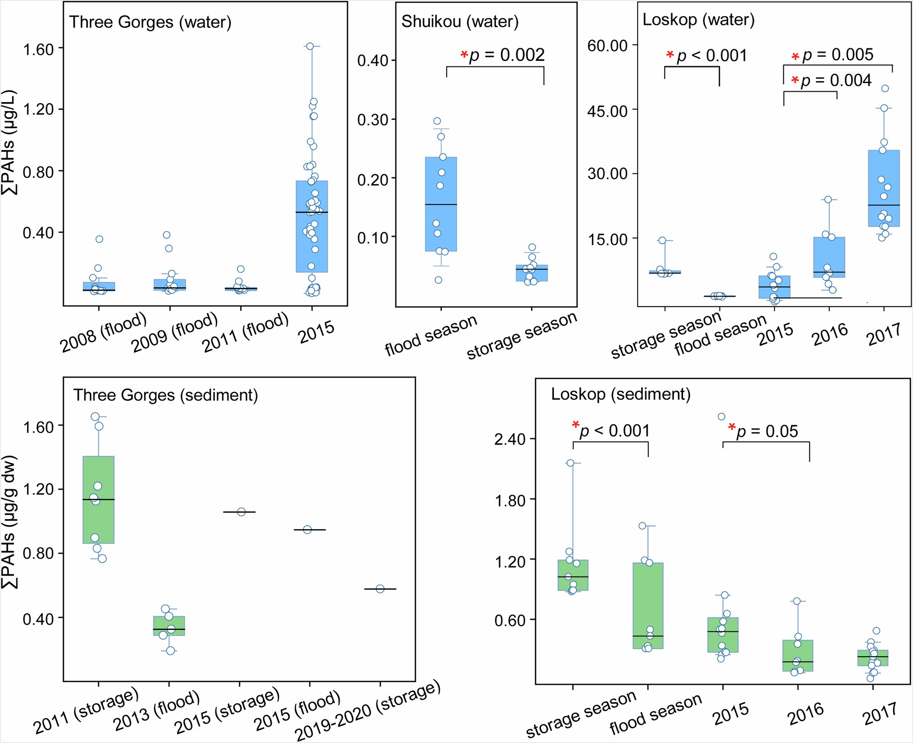
Extended Data Fig. 4: Interannual and seasonal variation in PAH concentrations from reservoir water and sediment.
From: Regionally distinct threats from polycyclic aromatic hydrocarbons in global reservoirs

The blue represents water and the green is sediment. Seasonal comparisons were evaluated using two-sided Mann–Whitney U tests, and interannual variations using two-sided Kruskal–Wallis tests with Dunn’s post-hoc tests (Bonferroni adjustment). Statistical significance is denoted as “*” for p < 0.05. Boxplots show the distribution of PAH concentrations: centre line = median, box = 25th–75th percentiles, whiskers = min/max within 1.5 times interquartile range (IQR), points beyond whiskers = outliers. Sampling sites included the Three Gorges (water N = 59; sediment N = 13), Shuikou (N = 10), and Loskop (water N = 24; sediment N = 14) reservoirs across multiple years and hydrological seasons (see Supplementary Data 1). Each n denotes an independent field sample (biological replicate).