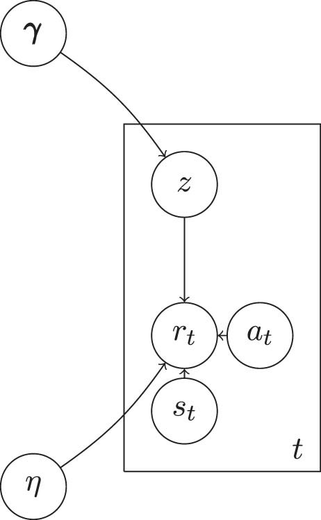
Extended Data Fig. 5: Full generative model of zero-volatility models.
From: Imprecise neural computations as a source of adaptive behaviour in volatile environments

This model is exactly the process generating stable environments. This generative model assumes that volatility is null and that observations are all equally informative. z represents the correct combination. γ represents combinations’ probabilities. η represents feedback noise. In every trial, observables are stimuli st, actions at and binary feedback rt. See Methods for details.