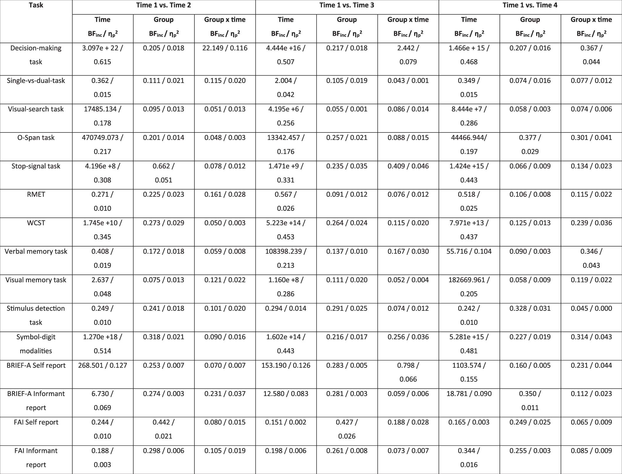
Extended Data Fig. 2: Individual task and questionnaire statistics for the group x time interaction for all time points.

Note: BF >10 indicates strong support for H1 over H0; BF >3 indicates moderate support for H1 over H0; 1< BF <3 indicates anecdotal support for H1 over H0; 1/3< BF <1 indicates anecdotal support for H0 over H1; 1/10< BF <1/3 indicates moderate support for H0 over H1; BF <1/10 indicates strong evidence for H0 over H1; BF = 1 indicates no evidence for H0 or H1.