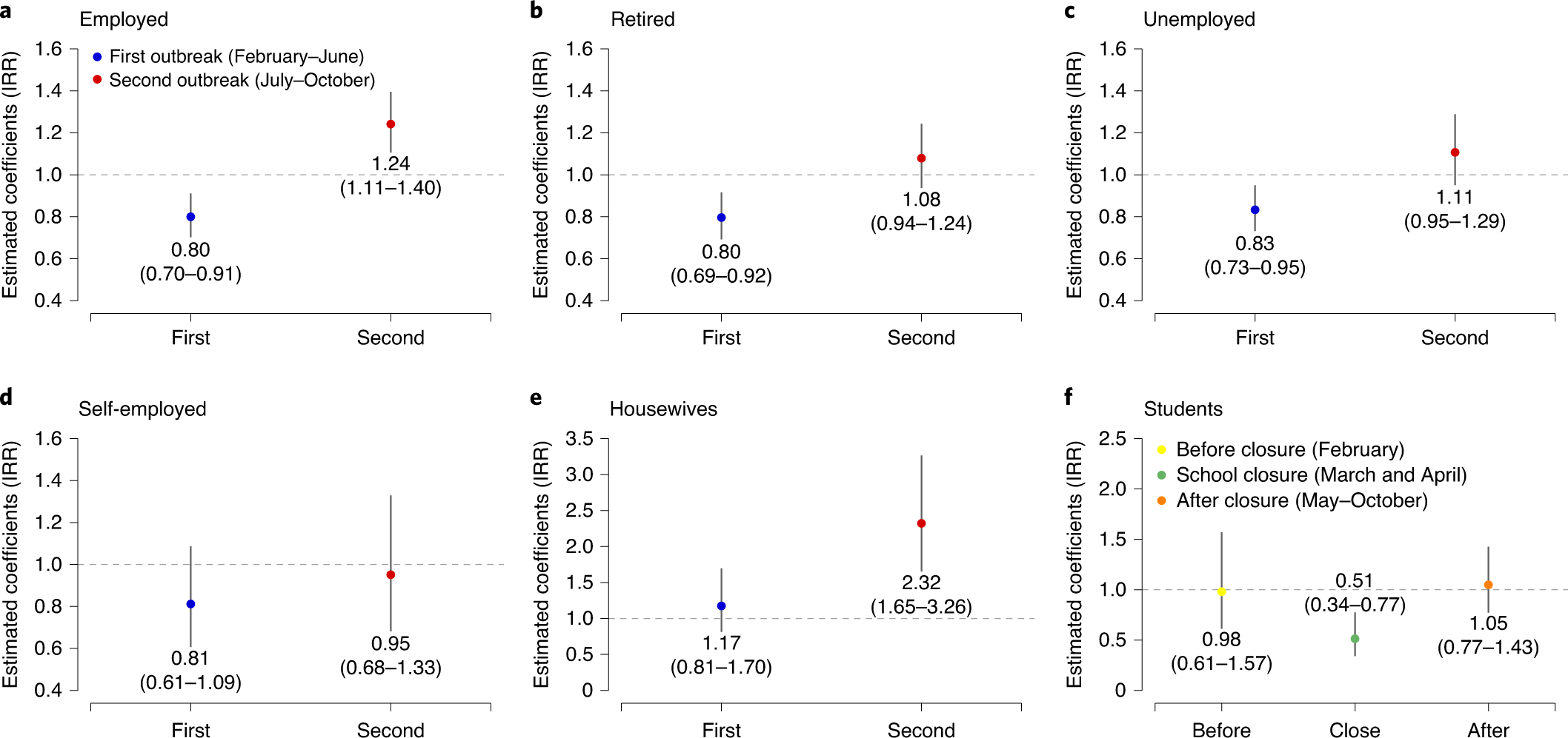
Fig. 4: Heterogeneous effects of the COVID-19 pandemic according to job status.
From: Increase in suicide following an initial decline during the COVID-19 pandemic in Japan

a–f, Effects of the pandemic on suicide rate across individuals with different employment statuses during the first and second COVID-19 outbreaks and during school closure for students. In a–e, blue and red circles denote the DID estimates during the first and second outbreaks, respectively, and error bars show 95% CI. a–f, Suicide rate among employed (a), retired (b), unemployed (c), self-employed (d), housewives (e), and students (f). Full results are presented in Supplementary Table 6. All regressions include city-by-year fixed effects and city-by-month fixed effects and are weighted by population, and standard errors are clustered at the city level. N = 10,723 (a), 9,146 (b), 9,246 (c), 4,124 (d), 3,854 (e) and 3,220 (f). The separated observations are excluded (Methods). Data used for this analysis are described in Supplementary Note 1.