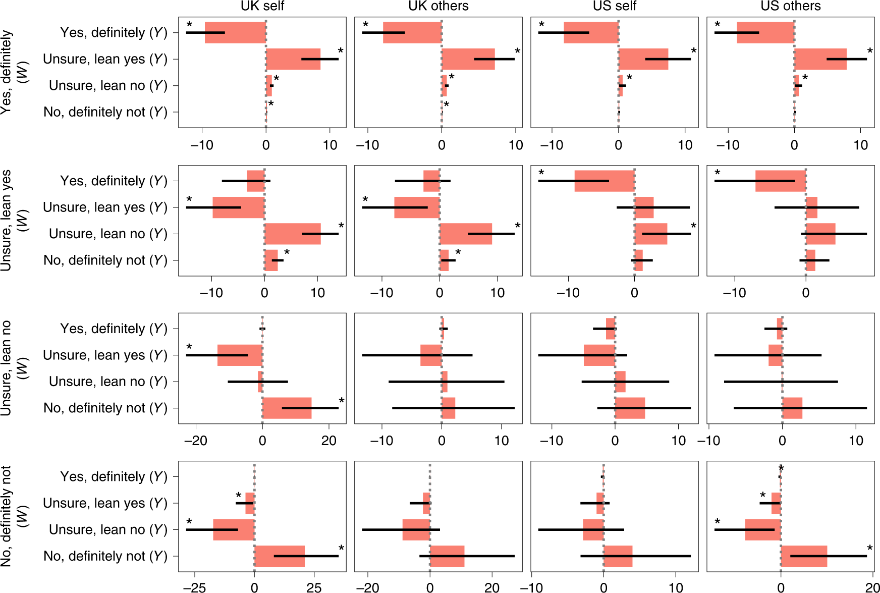
Fig. 2: Exposure to COVID-19 vaccine misinformation induces a net decrease in intent to accept a COVID-19 vaccine for all levels of pre-exposure intent.
From: Measuring the impact of COVID-19 vaccine misinformation on vaccination intent in the UK and USA

Points indicate the relative change in probabilities (denoted as percentage point changes to aid interpretation) in the number of people with prior intent W who change it to Y after exposure to misinformation, relative to factual information (Methods, ‘Estimating treatment effects’). Bars indicate 95% PI; asterisks indicate PIs that do not include 0. Values are presented in Supplementary Table 2.