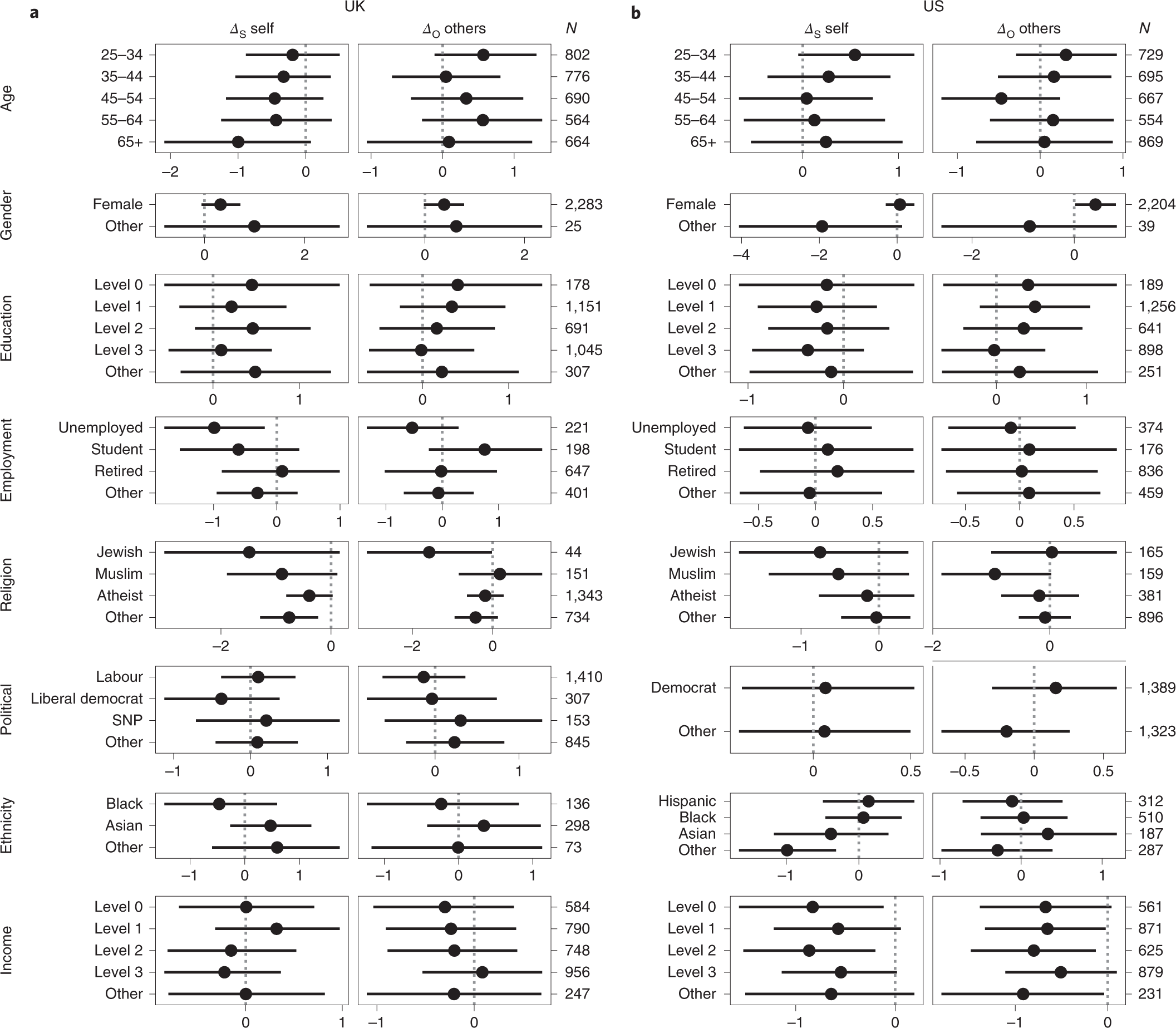
Fig. 3: Sociodemographic determinants of change in vaccination intent upon exposure to misinformation about COVID-19 vaccines, relative to factual information.
From: Measuring the impact of COVID-19 vaccine misinformation on vaccination intent in the UK and USA

a,b, Contribution of sociodemographic characteristics to changes in intent to accept a vaccine to protect oneself (left column) and to protect others (right column) for the UK (a) and the USA (b). The reference category is male, 18–24 years of age, highest education, employed, Christian, Conservative (UK) or Republican (USA), white and highest income. Values indicate log cumulative odds ratios, such that a value above 0 indicates that the group is more likely to reject a COVID-19 vaccine than the reference group upon exposure to misinformation, relative to factual information, and a value below 0 indicates that they are less likely to reject the vaccine. Bars indicate 95% percentile intervals; numbers on the right indicate sample sizes of the corresponding demographic. Values are presented in Supplementary Tables 3 and 4.