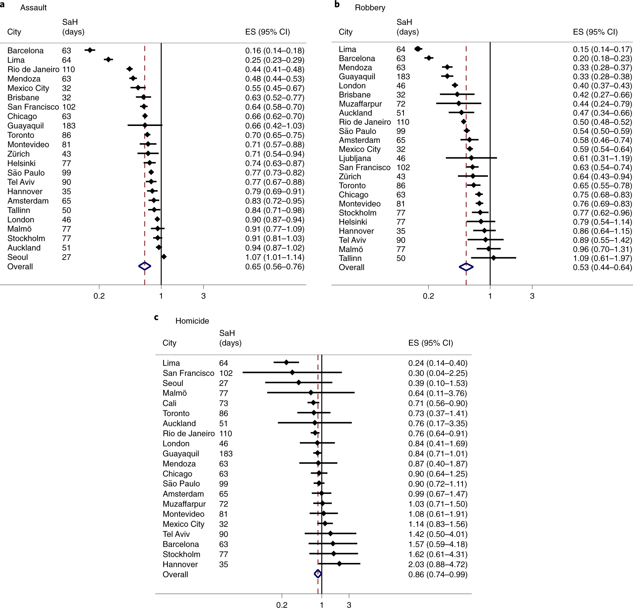
Fig. 2: IRR and 95% CI of stay-at-home restrictions on daily number of violent crimes.
From: A global analysis of the impact of COVID-19 stay-at-home restrictions on crime

a, Assault (n = 23). b, Robbery (n = 24). c, Homicide (n = 21). Overall summary effects estimated using random-effects meta-analytic techniques. ES, effect size. SaH (days), number of days under stay-at-home restrictions from the beginning of 2020 until the end of the respective time series from May to September 2020. Full results by city and crime can be found in Supplementary Table 17.