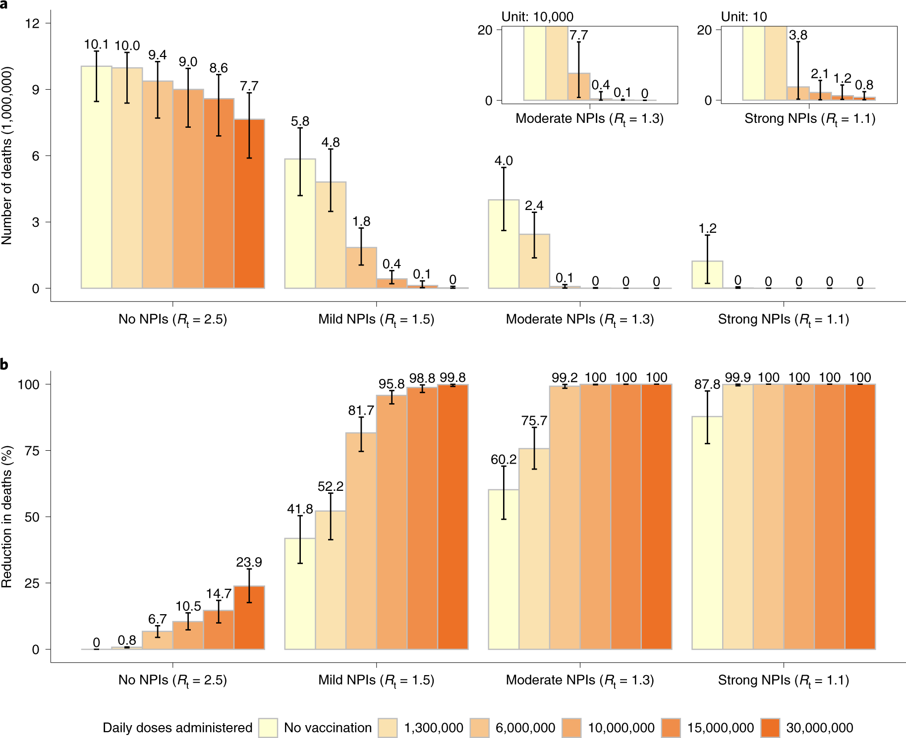
Fig. 3: Impact of daily vaccine administration capacity on COVID-19 deaths.

a, Cumulative number of COVID-19 deaths (millions) as estimated in the different scenarios under progressively increasing values of the daily vaccination capacity. b, Proportion of deaths averted compared with the reference scenario, that is, no vaccination + no NPIs with Rt = 2.5 at the beginning of the outbreak. Number denotes median, and error bars denote quantiles 0.025 and 0.975.