Extended Data Fig. 4: Robustness check.
From: Short- and medium-term impacts of strict anti-contagion policies on non-COVID-19 mortality in China

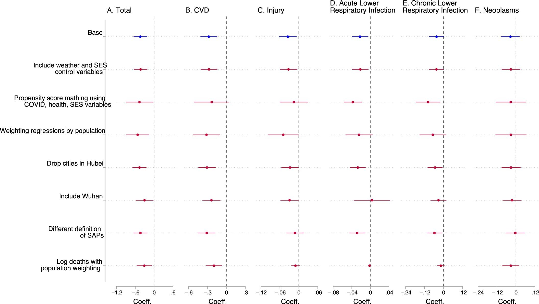
Each plot and bar in the figures represent a separate DiD regression with plots and bars representing the point estimates and 95% confidence interval. Results report the effects of SAPs on the number of deaths (except for deaths from COVID-19) from all-causes (A), CVD (B), injury (C), ALRI (D), CLRI (E), and neoplasms (F) using various model specifications. Row (1) describes the baseline estimates. Row (2) includes the time-varying weather variables and socio-economic status controls: interactions between time-invariant variables and a third-order polynomial function of time. Row (3) shows the results using propensity score matching + DiD, where we use the COVID-19 incidence (whether a city confirms at least one case and the first day of arrival), base mortality rate measured in 2019 (total, and each category), and socio-economic status (per capita GDP, number of hospital bed, share of secondary industry in GDP, base air quality index). Row (4) weights regressions using population as a weight. Row (5) includes 3 DSPs in Wuhan, while Row (6) drops 22 DSPs (3 DSPs in Wuhan and 19 DSPs in other cities) in Hubei province. Row (7) uses a different SAP indicator, in which SAP=1 when the mobility within a city is restricted. Row (8) uses log deaths as outcome variables, and regression is weighted using population. Here, we use estimate impacts’ change in levels using a mean value of each variable. The number of observations is 56,056 (row 3), 59,290 (5), 57,134 (6), and 58,996 (others). The data covers the period from January 1 to April 7, and the standard errors are clustered at the DSP level. We describe the detail in Supplementary Note 2.