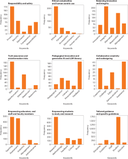
The integration of generative artificial intelligence (AI) and large language models (LLMs) in academia brings benefits for access and collaboration as well as challenges that include misinformation and threats to academic integrity. We examine 80 academic guidelines and recommend balanced approaches for the responsible integration of generative AI and LLMs in education.
This is a preview of subscription content, access via your institution
Access options
Access Nature and 54 other Nature Portfolio journals
Get Nature+, our best-value online-access subscription
$32.99 / 30 days
cancel any time
Subscribe to this journal
Receive 12 digital issues and online access to articles
$119.00 per year
only $9.92 per issue
Buy this article
- Purchase on SpringerLink
- Instant access to the full article PDF.
USD 39.95
Prices may be subject to local taxes which are calculated during checkout

References
Khedkar, S. Guidelines for generative AI use from universities worldwide. Editage Insights https://www.editage.com/insights/guidelines-for-generative-ai-use-from-universities-worldwide (2023).
UNESCO. AI: UNESCO mobilizes education ministers from around the world for a co-ordinated response to ChatGPT. UNESCO https://www.unesco.org/en/articles/ai-unesco-mobilizes-education-ministers-around-world-co-ordinated-response-chatgpt (2023).
Jiao, J., Afroogh, S., Chen, K., Atkinson, D. & Dhurandhar, A. AGGA: a dataset of academic guidelines for generative AIs. Harvard Dataverse https://doi.org/10.7910/DVN/XZZHA5 (2024).
Fütterer, T. et al. Sci. Rep. 13, 15310 (2023).
Hasanein, A. M. & Sobaih, A. E. E. Eur. J. Investig. Health Psychol. Educ. 13, 2599–2614 (2023).
African Observatory on Responsible Artificial Intelligence. Generative AI guidelines at South African universities. africanobservatory.ai https://www.africanobservatory.ai/social/generative-ai-guidelines-at-south-african-universities (2024).
European Commission. Ethical Guidelines on the Use of Artificial Intelligence (AI) and Data in Teaching and Learning for Educators (Publications Office of the EU, 2022).
Russell Group. Russell Group principles on the use of generative AI tools in education. Russell Group https://russellgroup.ac.uk/media/6137/rg_ai_principles-final.pdf (2023).
Jiao, J., Afroogh, S., Chen, K., Atkinson, D. & Dhurandhar, A. Preprint at https://doi.org/10.48550/arXiv.2406.18842 (2024).
Agudo, U., Liberal, K. G., Arrese, M. & Matute, H. Cogn. Res. 9, 1 (2024).
Acknowledgements
This research is funded by the National Science Foundation (NSF) under grant number 2125858. The authors express their gratitude for the NSF’s support, which made this study possible. Furthermore, in accordance with MLA (Modern Language Association) guidelines, we note the use of OpenAI’s applications for assistance in editing and brainstorming.
Author information
Authors and Affiliations
Contributions
J.J. and S.A. conceived and developed the main idea, contributed to the conceptualization and methodology, and conducted both qualitative and quantitative analyses. K.C., D.A. and A.D. contributed to the methodology and carried out qualitative and quantitative analyses.
Corresponding author
Ethics declarations
Competing interests
The authors declare no competing interests.
Rights and permissions
About this article
Cite this article
Jiao, J., Afroogh, S., Chen, K. et al. The global landscape of academic guidelines for generative AI and LLMs. Nat Hum Behav 9, 638–642 (2025). https://doi.org/10.1038/s41562-025-02124-6
Published:
Version of record:
Issue date:
DOI: https://doi.org/10.1038/s41562-025-02124-6