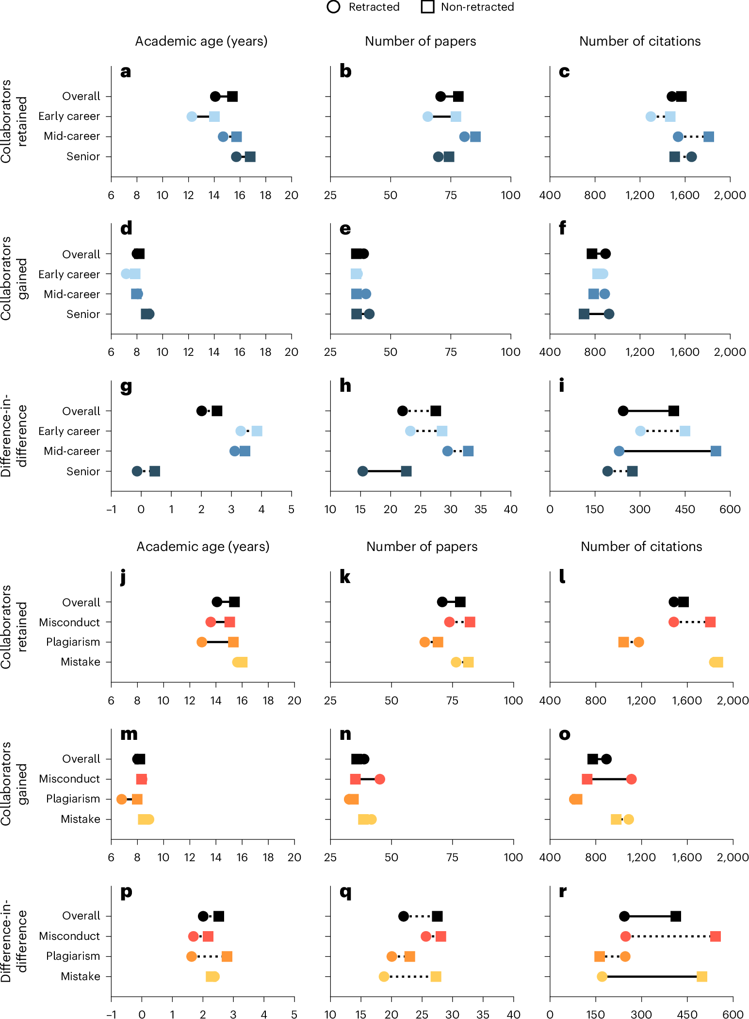
Fig. 4: Comparison of characteristics of collaborators retained and gained by retracted and non-retracted authors, stratified by seniority (N = 1, 187) and by reasons of retraction (N = 1, 143).
From: Characterizing the effect of retractions on publishing careers

a–c, The comparison based on academic age (a), number of papers (b) and number of citations (c) for retained collaborators of retracted and non-retracted authors of different age groups. d–f, The comparison based on academic age (d), number of papers (e) and number of citations (f) for collaborators gained by retracted and non-retracted authors of different age groups. g–i, The results of the difference-in-difference analysis based on academic age (g), number of papers (h) and number of citations (i) comparing the difference of collaborators retained and collaborators lost for different age groups. j–l, The comparison based on academic age (j), number of papers (k) and number of citations (l) for retained collaborators of retracted and non-retracted authors stratified by reasons of retraction. m–o, The comparison based on academic age (m), number of papers (n) and number of citations (o) for collaborators gained by retracted and non-retracted authors stratified by reasons of retraction. p–r, The results of the difference-in-difference analysis based on academic age (p), number of papers (q) and number of citations (r) comparing the difference of collaborators retained and collaborators lost stratified by reasons of retraction.