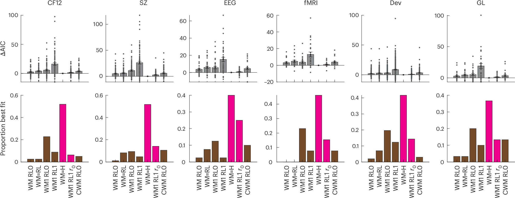
Fig. 3: Quantitative model comparison confirms a better fit for the WM=H than the WMRL family of models.
From: A habit and working memory model as an alternative account of human reward-based learning

The top row shows individual (dots) and group mean AIC (± standard error), baselined to the group mean best model; the bottom row shows the proportion of participants best fit by each model. Both measures show that the WM=H model fits best in all datasets. r0 indicates a free parameter for the 0 outcome in RL; C indicates the use of policy compression. Results from models that can be interpreted as WMH are highlighted in pink and RLWM in brown. The numbers of individual participants contributing to the plots for each dataset are indicated in Fig. 1.