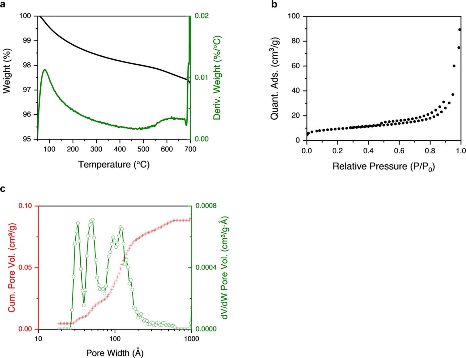
Extended Data Fig. 1: Characterization of Pt@Al2O3.
From: Templated encapsulation of platinum-based catalysts promotes high-temperature stability to 1,100 °C

a, TGA upon heating the sample in air to 700 °C. b, N2 physisorption isotherm. c, Pore size distribution.