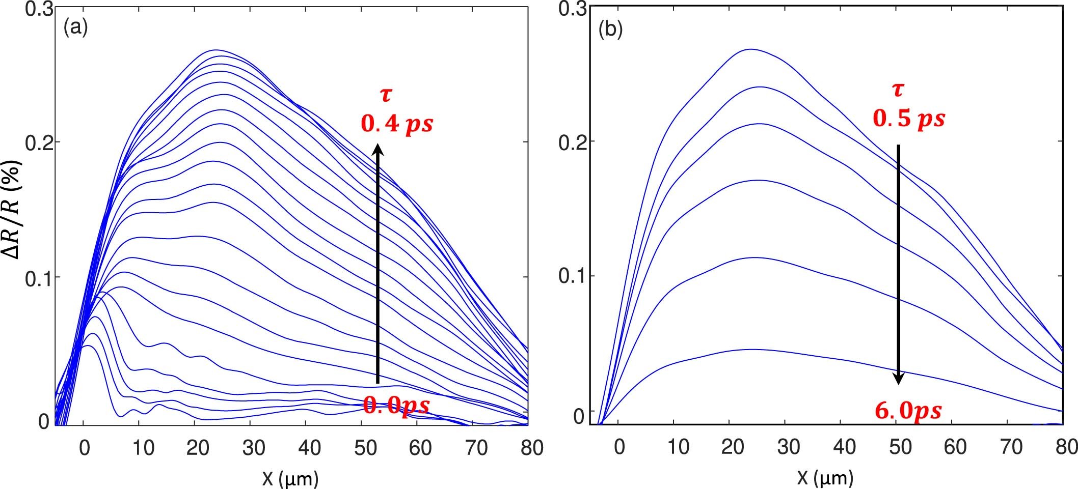
Extended Data Fig. 7: Long-time evolution of BSWP distribution.
From: From enhanced diffusion to ultrafast ballistic motion of hybrid light–matter excitations

Horizontal cross sections of the ΔR/R distribution measured during the rise (a) and decay (b) of the signal for \({\left\vert {\alpha }_{ph}\right\vert }^{2}=0.86\).