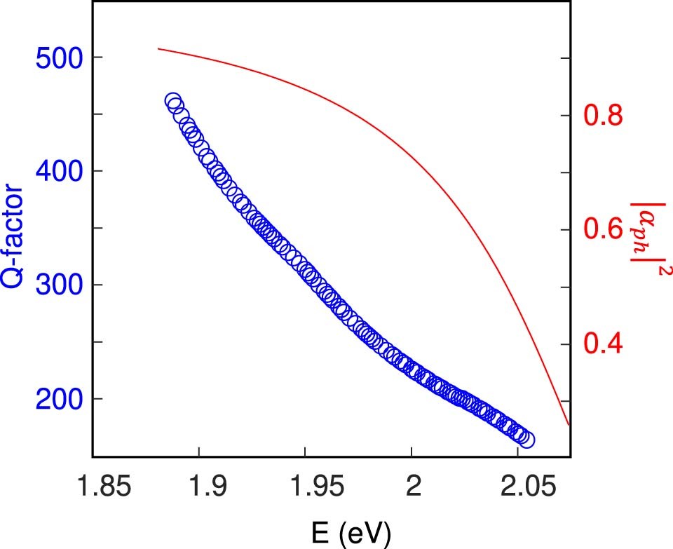
Extended Data Fig. 3: Properties of BSWPs.
From: From enhanced diffusion to ultrafast ballistic motion of hybrid light–matter excitations

Quality factor (blue circles) and photonic weight (red line) as a function of energy of the lower polariton branch. As the polariton energy shifts away from the bare exciton energy, its Q-factor (and lifetime) increases while it becomes more photon-like.