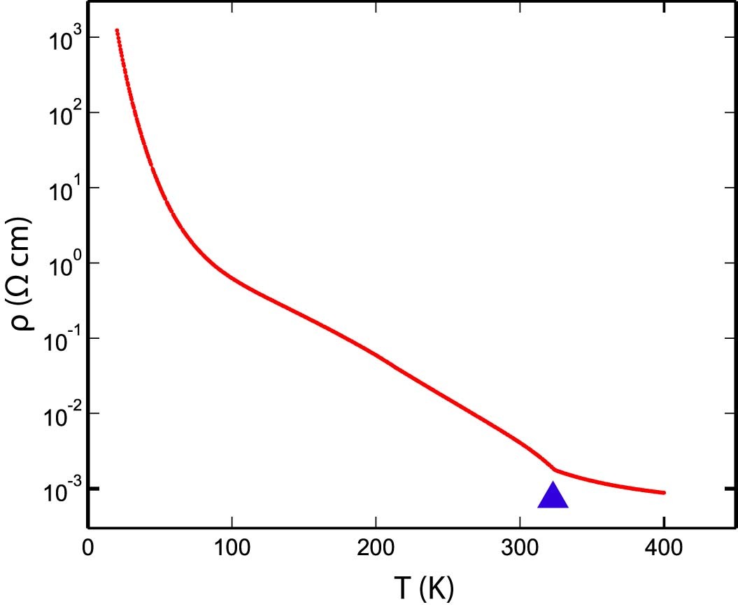
Extended Data Fig. 1: Transport properties of Ta2 NiSe5.
From: Terahertz parametric amplification as a reporter of exciton condensate dynamics

Resistivity of Ta2 NiSe5 single crystal plotted against the temperature. The blue triangle emphasizes an anomaly at T=326 K, corresponding to the temperature of the phase transition.