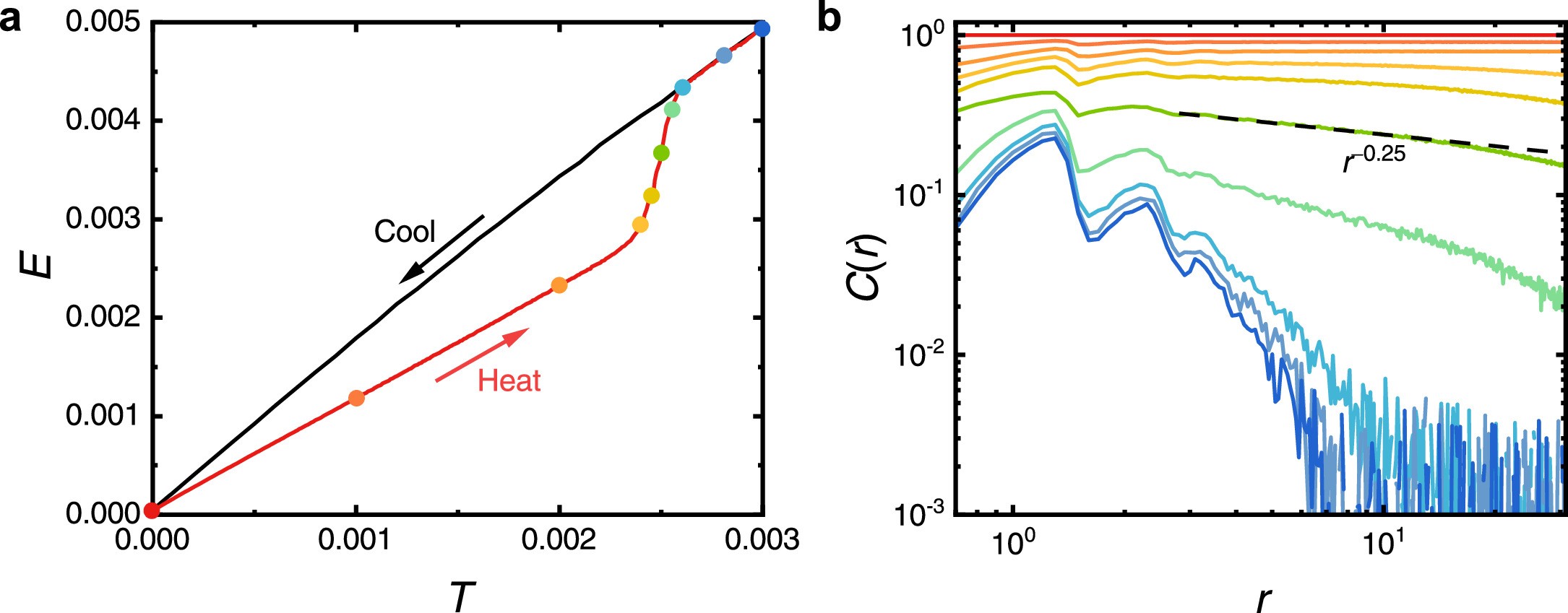
Extended Data Fig. 6: Heating rate dependence of melting behaviour of ideal non-crystals.
From: Ideal non-crystals as a distinct form of ordered states without symmetry breaking

a, Evolution of potential energy per particle E when heated from ideal-non-crystal configurations using normal MD with a heating rate dT/dt = 10−9 and then cooled down using SMC with a cooling rate dT/dt = 10−10. Compared to Fig. 2c, where a heating rate of dT/dt = 10−10 is used, the steep increase of E takes place at a higher temperature, but the overall behaviours are the same. This indicates a nonequilibrium nature of the melting process. b, The path-integral-like correlation function C(r) for state points indicated in a (note that the temperatures are different from Fig. 2d for the same colour). The dashed line indicating C(r) ~ r−0.25 is plotted as a reference. Here, because of the faster heating rate, the system cannot be well equilibrated (even in the metastable sense) during melting. Therefore, the mixed behaviour of C(r) with medium-range power-law-like correlation and long-range exponential decay at intermediate temperatures might be due to the coexistence of fluid-like and solid-like components. While melting behaviour deserves further careful investigations, the ultrastability and long-range structural correlation in ideal-non-crystal states are clear from these analyses.