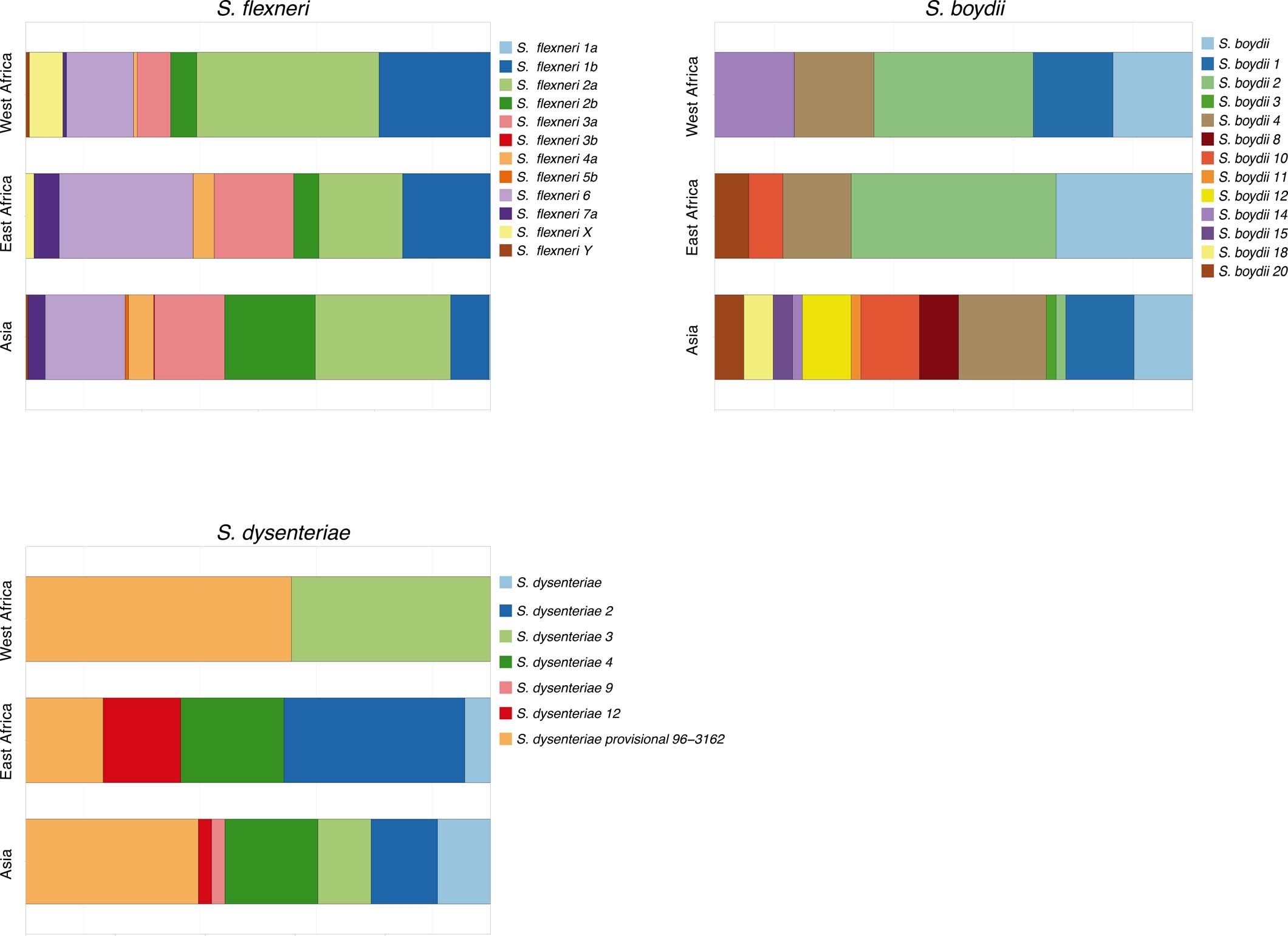
Extended Data Fig. 4: Regional serotypes/subserotypes diversity of GEMS Shigella.

Regional serotypes/subserotypes diversity of Shigella spp across GEMS study sites for S. flexneri, S. boydii and S. dysenteriae. Each barplot represents the relative frequencies of serotypes/subserotypes at each region according to the inlaid key.