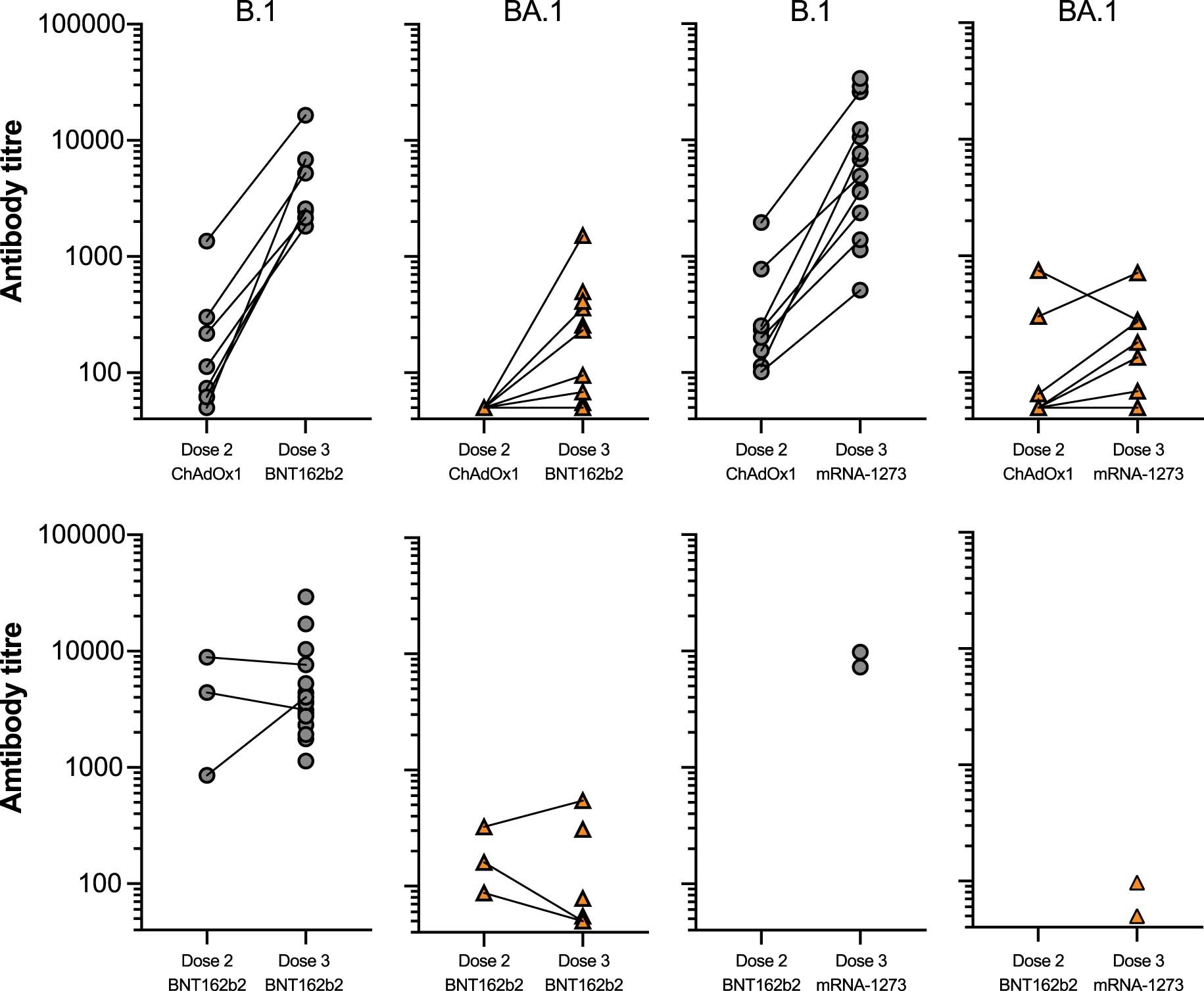
Extended Data Fig. 5: Effect of third dose of SARS-CoV-2 vaccine on neutralising antibody titres.
From: SARS-CoV-2 Omicron is an immune escape variant with an altered cell entry pathway

Two groups of healthy volunteers vaccinated with two doses of either ChAdOx1 or BNT162b2, were sampled two weeks following a third dose of either BNT162b2 or mRNA-1273. Each point represents the mean of three replicates. Where dose 2 and dose 3 samples were available from the same individual, points are joined by a solid line.