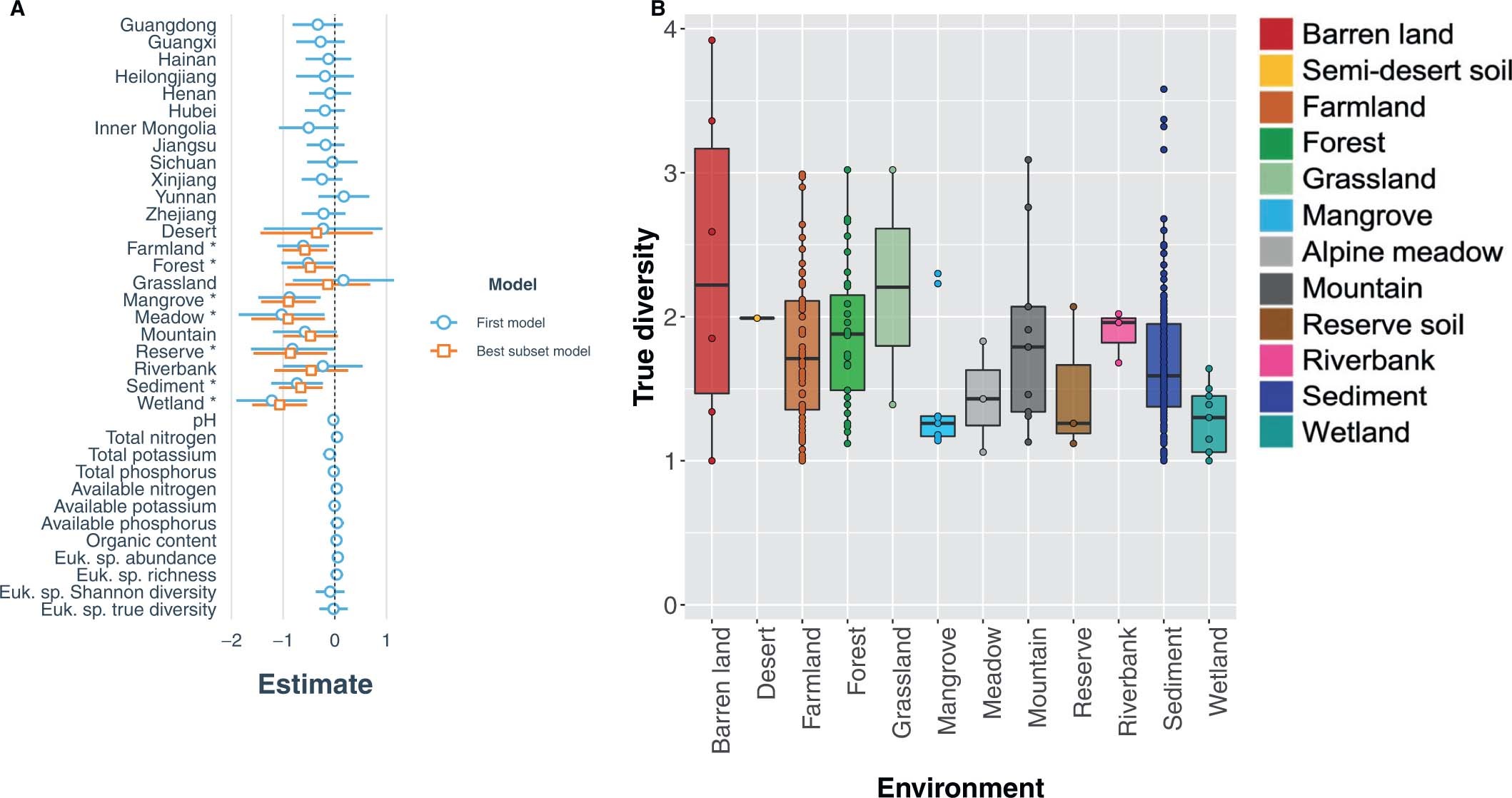
Extended Data Fig. 8: Ecological factors significantly associated with true diversity in animal-associated viruses.
From: RNA viromes from terrestrial sites across China expand environmental viral diversity

(A) Model-averaged effect sizes of ecological metadata for 265 biologically independent samples on true diversity with confidence intervals of 95% and factors significant in the best subset selected model (p < 0.05, in orange) do not overlap the central line and are denoted with an asterisk (*) (identical to Fig. 7d), along with the true diversity values plotted against (B) environment. For all boxplots, the horizontal box lines in the boxplots represent the first quartile, the median, and the third quartile. Whiskers denote the range of points within the first quartile − 1.5× the interquartile range and the third quartile + 1.5× the interquartile range.