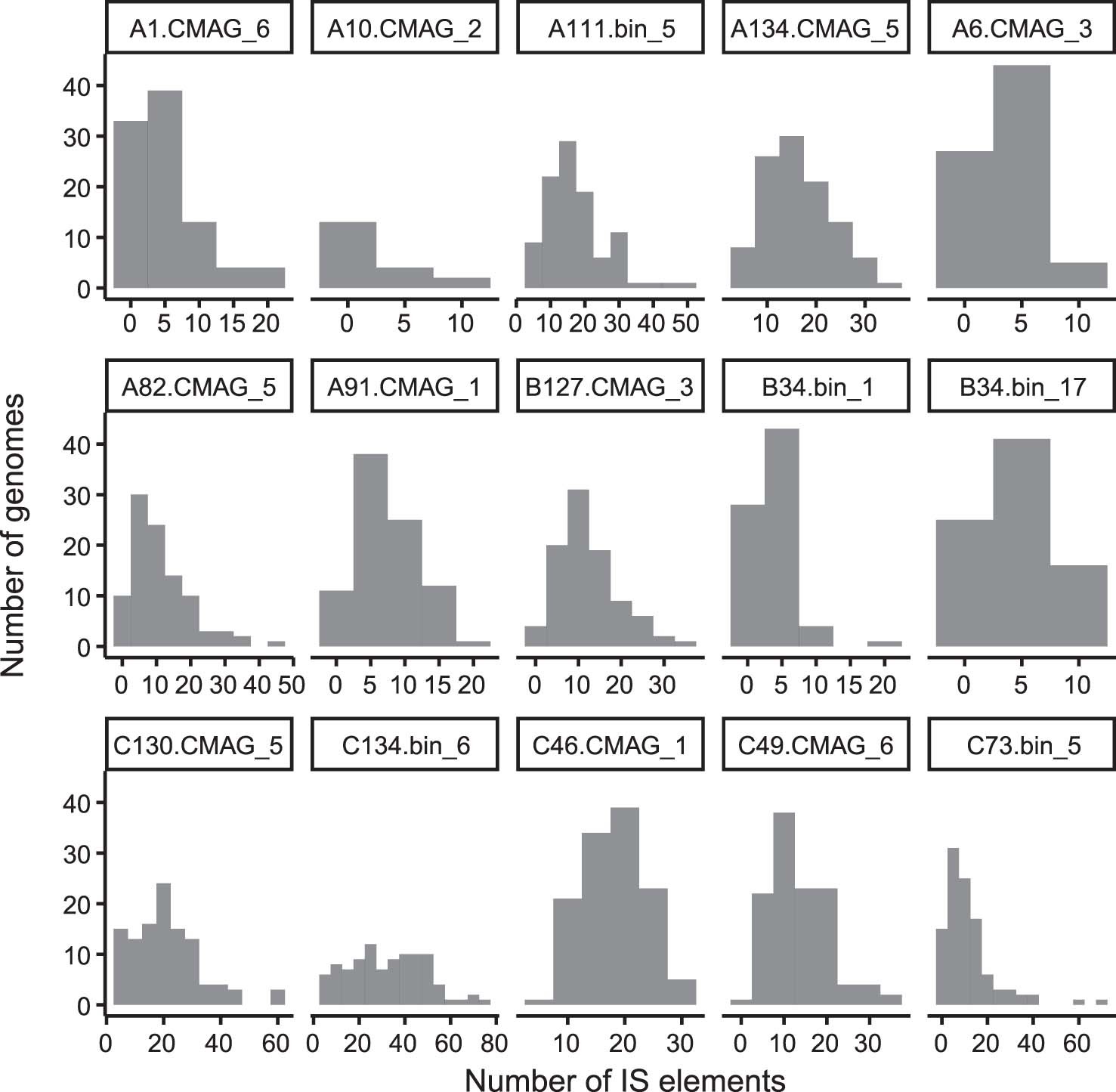
Extended Data Fig. 5: The uneven intra-species distribution of insertion sequence elements.
From: A high-quality genome compendium of the human gut microbiome of Inner Mongolians

Distribution of insertion sequence (IS) elements across the 15 most represented metagenome-assembled genomes (MAGs) in the dataset.