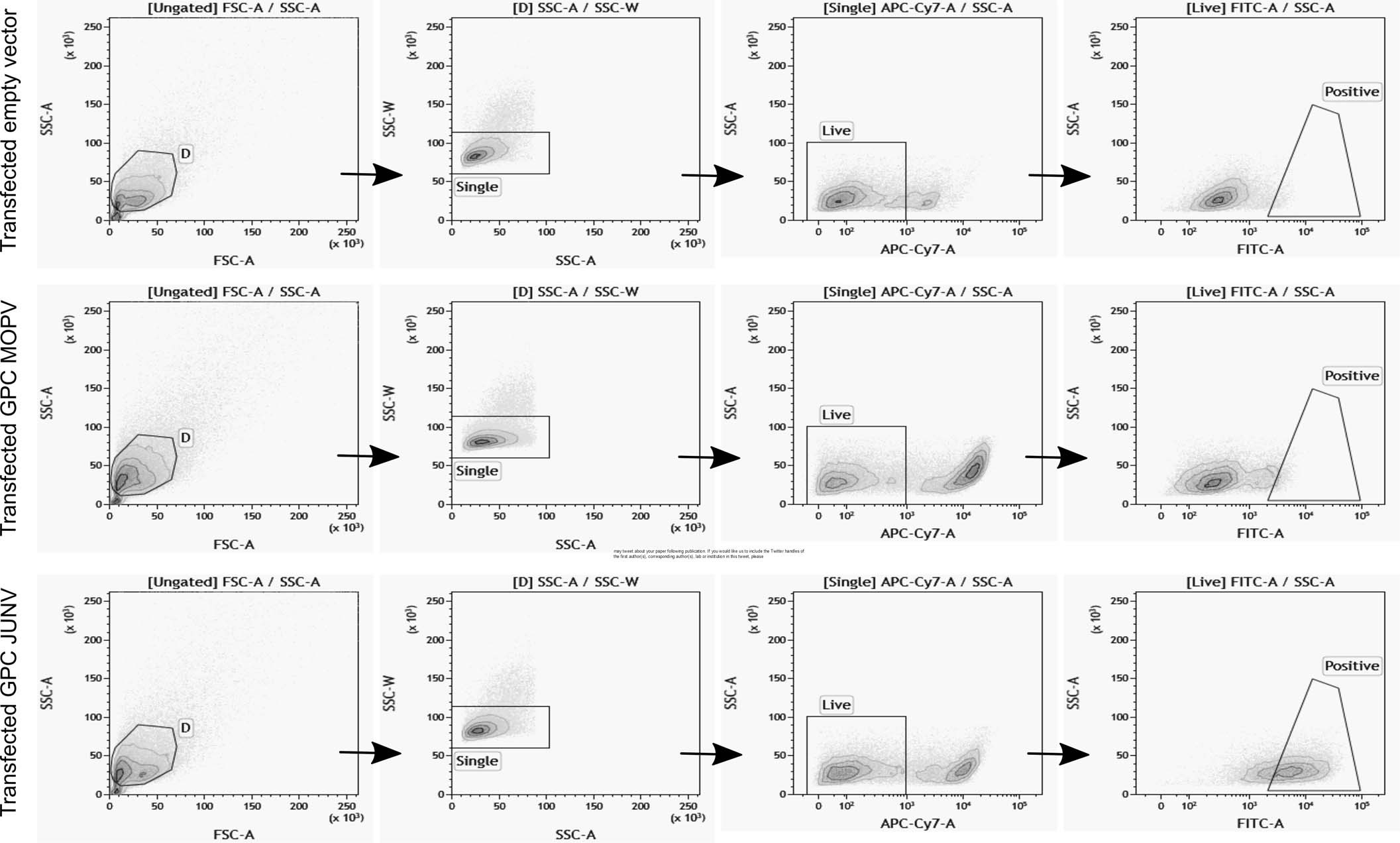
Extended Data Fig. 5: Gating strategy for determination of IgG fixation on GPs.

The gates used to quantify the cells expressing or not GPs that fixed IgG from plasma are presented. FSC / SSC was used to gate cells, then singlets were determined using SSC / SSC-W and live cells were gated: Live Dead negative cells. The cells that fixed IgG and the secondary anti-IgG FITC were defined with the gate ‘Positive’. Three conditions of the same plasma sample are presented for comparison: empty vector, cells expressing GPs of MOPV and cells expressing GPS of JUNV.