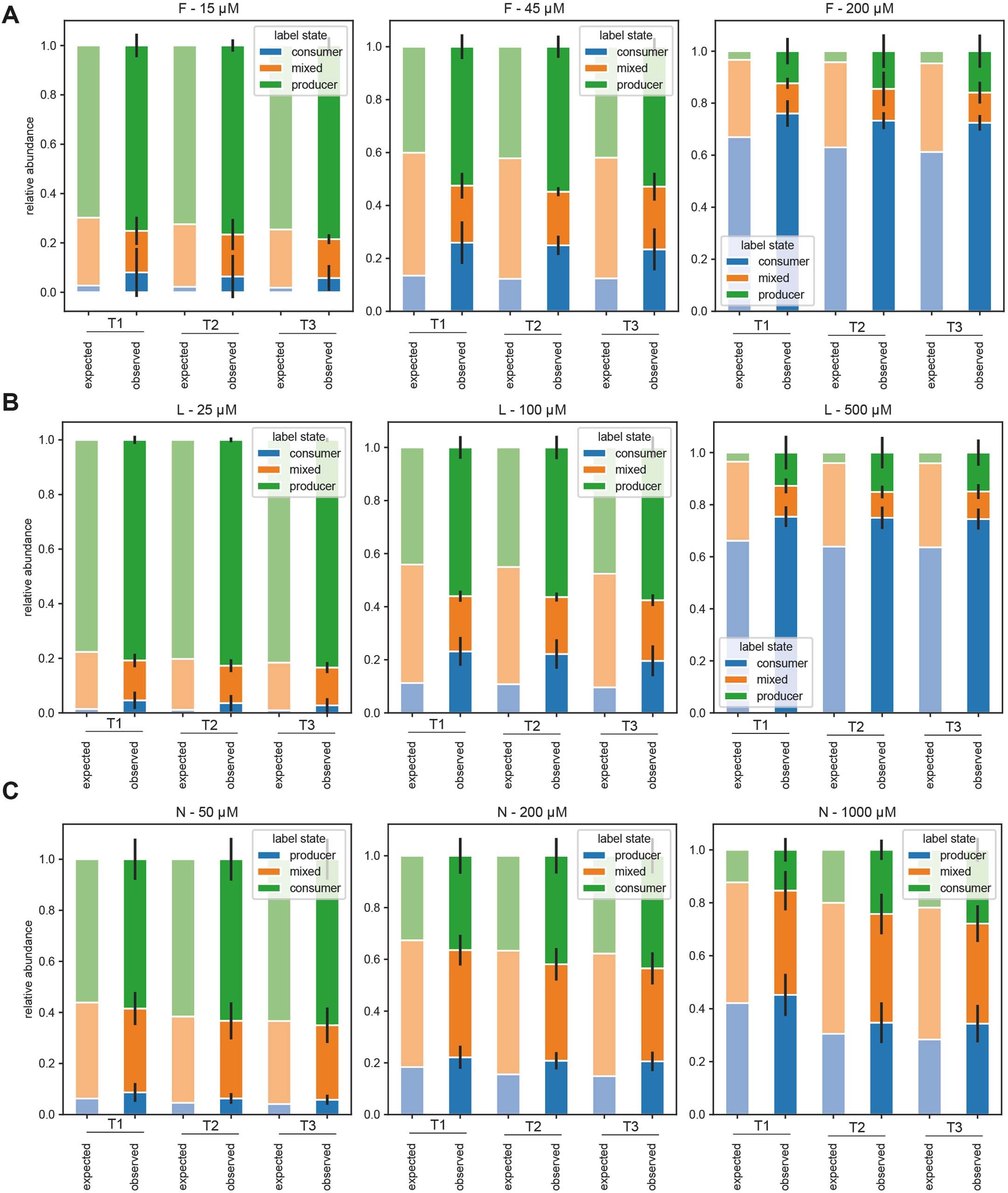
Extended Data Fig. 3: Producer and consumer subpopulations also emerge with other amino acid supplements.
From: Metabolic heterogeneity and cross-feeding within isogenic yeast populations captured by DILAC

a–c, Targeted proteomics was used to determine the relative abundance of labelling states in colonies supplemented with three different amino acids (F - phenylalanine (panel a); L - leucine (panel b); N - asparagine (panel c)). For each supplementation regime, a colony (n = 1 biological replicate) was harvested on three consecutive days (T1, T2, T3) and proteome samples prepared by tryptic digestion. MS2-level relative abundances were averaged across the top3 fragments of at least four peptides. Bar heights indicate the mean across fragments of all peptides, errorbars indicate the standard deviation. All underlying data is available through Panorama Public.