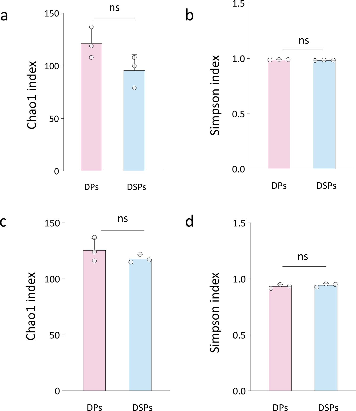
Extended Data Fig. 1: Rhizosphere microbial diversity indices of diseased plants and disease-suppressive plants.
From: Phyllosphere microbiome induces host metabolic defence against rice false-smut disease

a,b, Chao1 index and Simpson index of rhizosphere bacterial community in diseased plants (DPs) and disease-suppressive plants (DSPs). c,d, Chao1 index and Simpson index of rhizosphere fungal community in DPs and DSPs. No significant difference was observed between DPs and DSPs. Values are means ± SD (shown as error bars; n = 3 biological replicates, and each included a mixture of 10 rhizosphere samples), and ‘ns’ shown on the top of the paired columns indicates no significant difference (P > 0.05, unpaired Student’s t test, two-tailed).