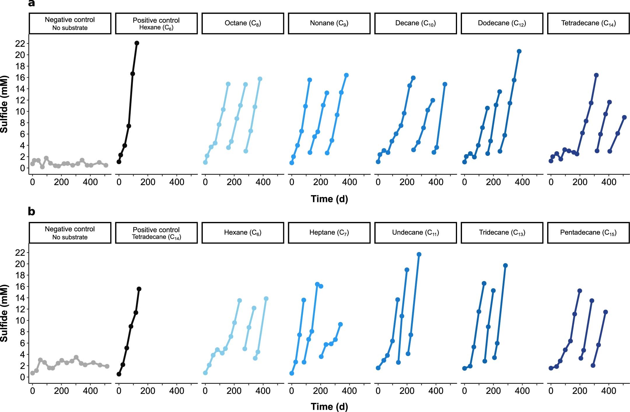
Extended Data Fig. 6: Substrate spectra of originally (a) n-hexane- and (b) n-tetradecane-oxidizing enrichment cultures.

Cultures were diluted into fresh sulfate-reducer medium and supplemented with other n-alkanes between C3 and C20. Only active cultures are shown. No activity was observed for cultures supplied with C3, C4, C16, C18, or C20.