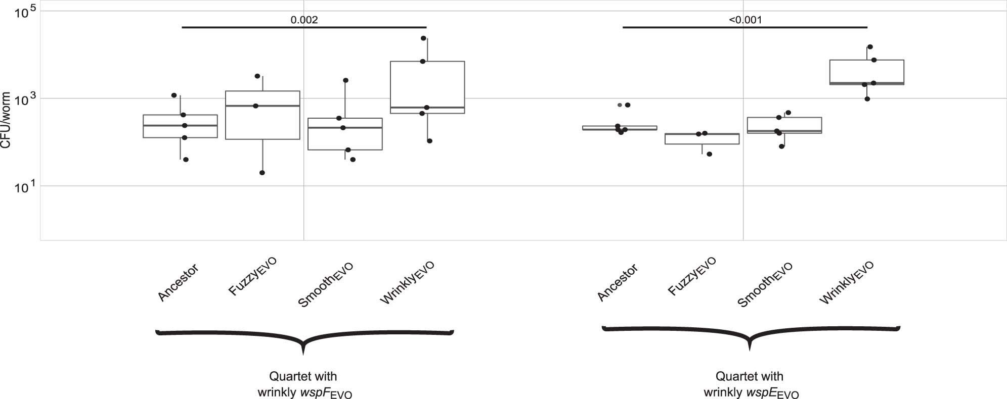
Extended Data Fig. 8: Increased competitive fitness of wrinkly isolates in bacterial mixtures of four strains (quartets).
From: Bacterial c-di-GMP has a key role in establishing host–microbe symbiosis

Three co-evolved morphotypes isolated from host-evolved replicate population T3 were paired with the ancestor. In one quartet the wrinkly wspF mutant (MT12) was present and in the other the wrinkly wspE mutant (MT14). Data points represent independent replicates, min. 3 replicates per treatment. Differences between morphotypes and ancestor were assessed using a linear mixed model and subsequent fdr-corrected Dunnett post-hoc comparisons; see Supplementary Table 13. Box plots show median (center line), upper and lower quartiles (box limits) and the interquartile range (whiskers).