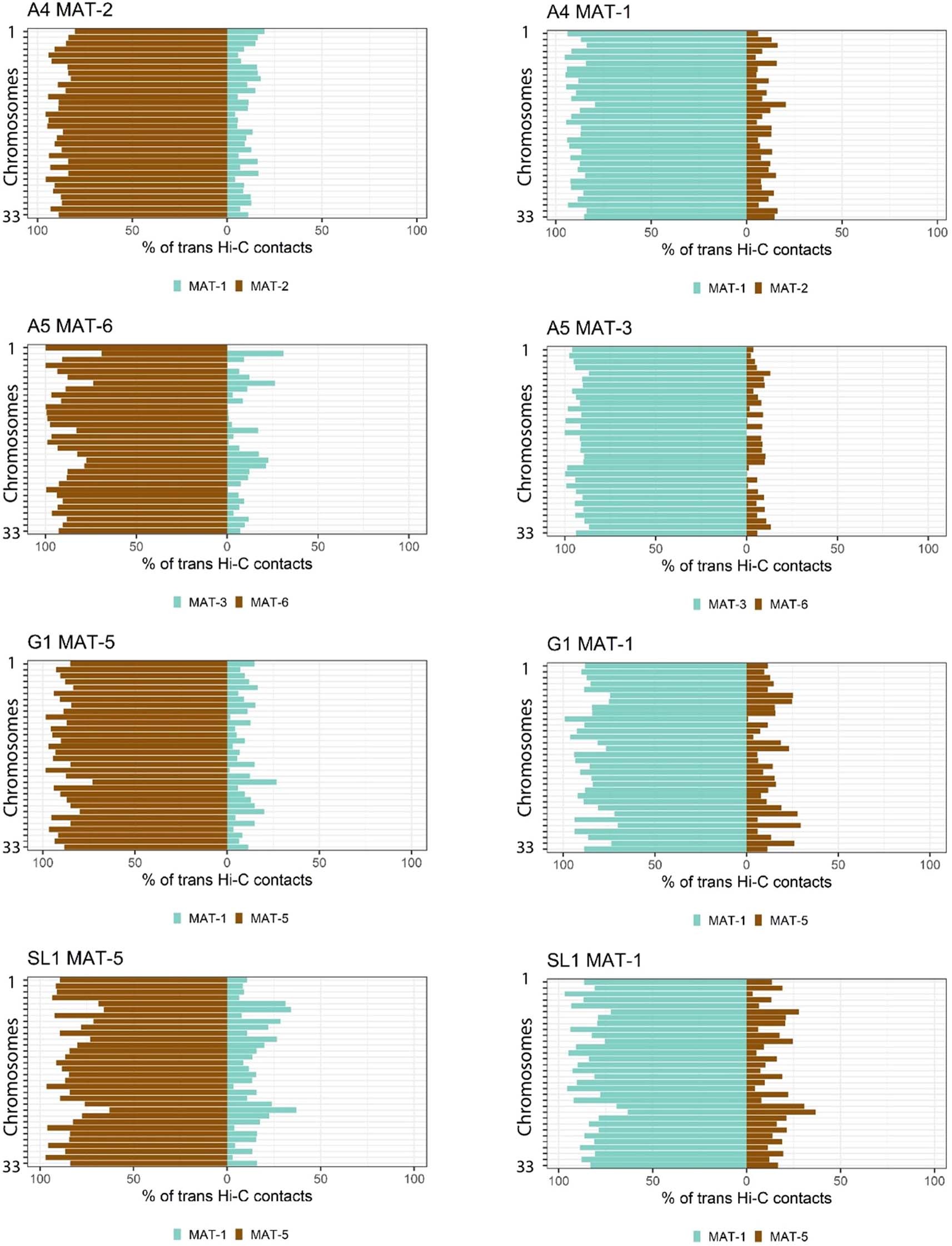
Extended Data Fig. 4: Percentage of Hi-C contacts that link within and between nuclear-separated haplotypes for all AMF heterokaryons.

The assemblies have a strong dikaryotic Hi-C phasing signal, with over 90% of inter-chromosomal (trans) contacts occurring within the nucleus. The chromosomes are fully phased, with only weak Hi-C trans contact to the other nucleus in some regions. The plots represent the inter- and intra-chromosomal Hi-C contacts of heterokaryon strains A4, A5, G1 and SL1 (from top to bottom), for each haplotype they contain (left to right). The bars represent the percentage of Hi-C contacts while the colors indicate the identity of the contact.