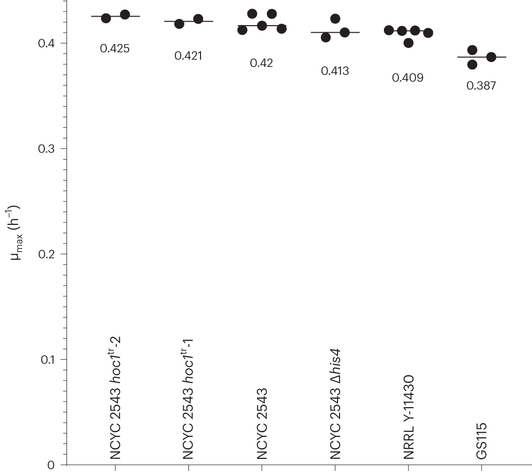
Fig. 2: Comparison of the maximal growth rate of NRRL Y-11430, NCYC 2543, the two NCYC 2543 hoc1tr mutants, GS115 and NCYC 2543 Δhis4.
From: OPENPichia: licence-free Komagataella phaffii chassis strains and toolkit for protein expression

The data points represent technical replicates (2 ≤ n ≤ 5) and the median of each group is represented with a horizontal line.