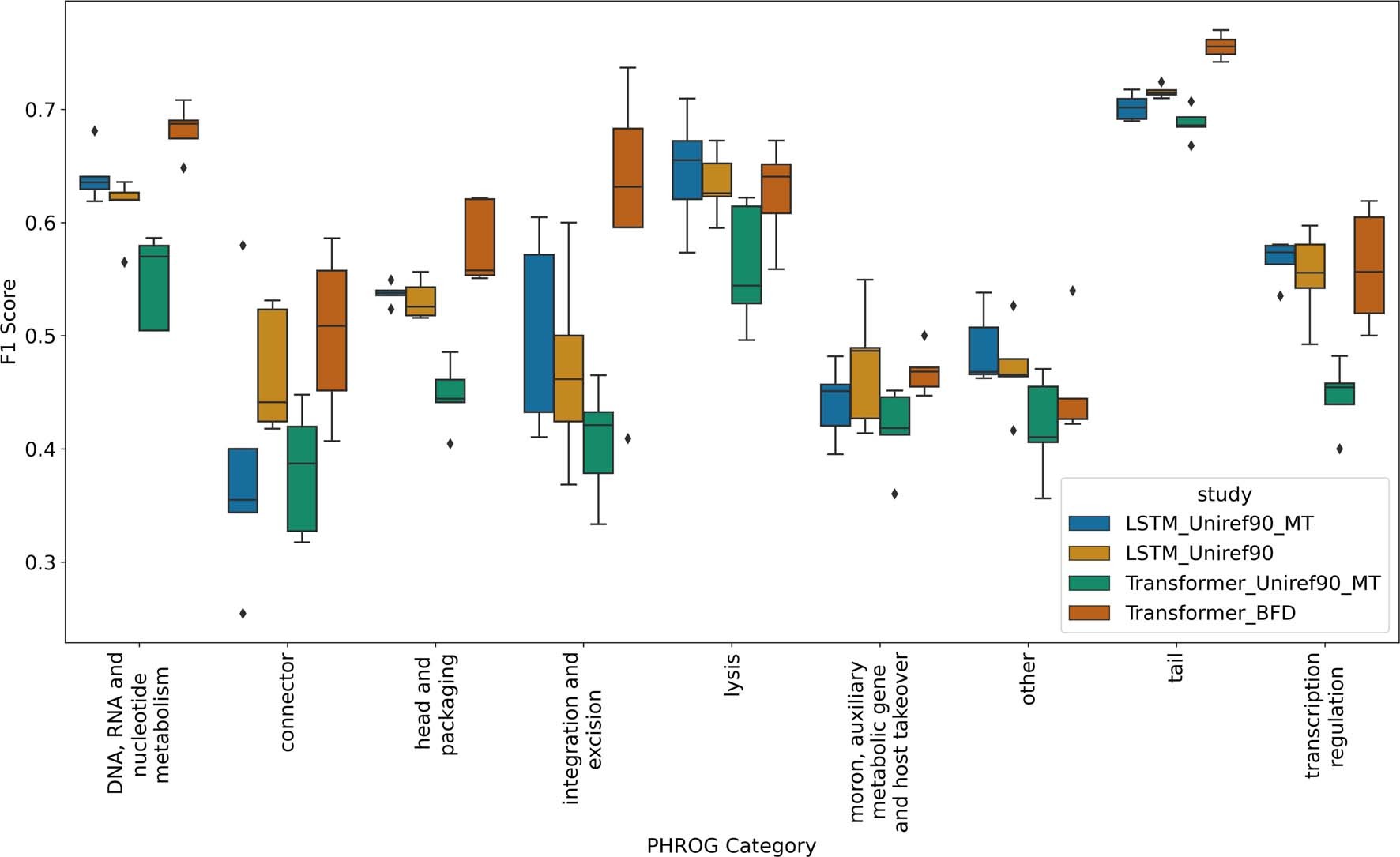
Extended Data Fig. 1: Performance of four different PLM-based representations for viral VPF functional classification.
From: Large language models improve annotation of prokaryotic viral proteins

Embedded proteins were used to train and evaluate PHROGs functional annotation classification. Performance is measured as F1-score over five-fold training-testing splits of PHROGs VPFs (n=5). Each study is described by the model architecture, protein source, and whether the PLM is trained with a multi-task training objective (MT). Boxes represent interquartile range; whiskers represent the entire distribution with the exception of outliers (diamonds); horizontal line indicates median. BFD- Big Fantastic Database; LSTM- long short-term memory.