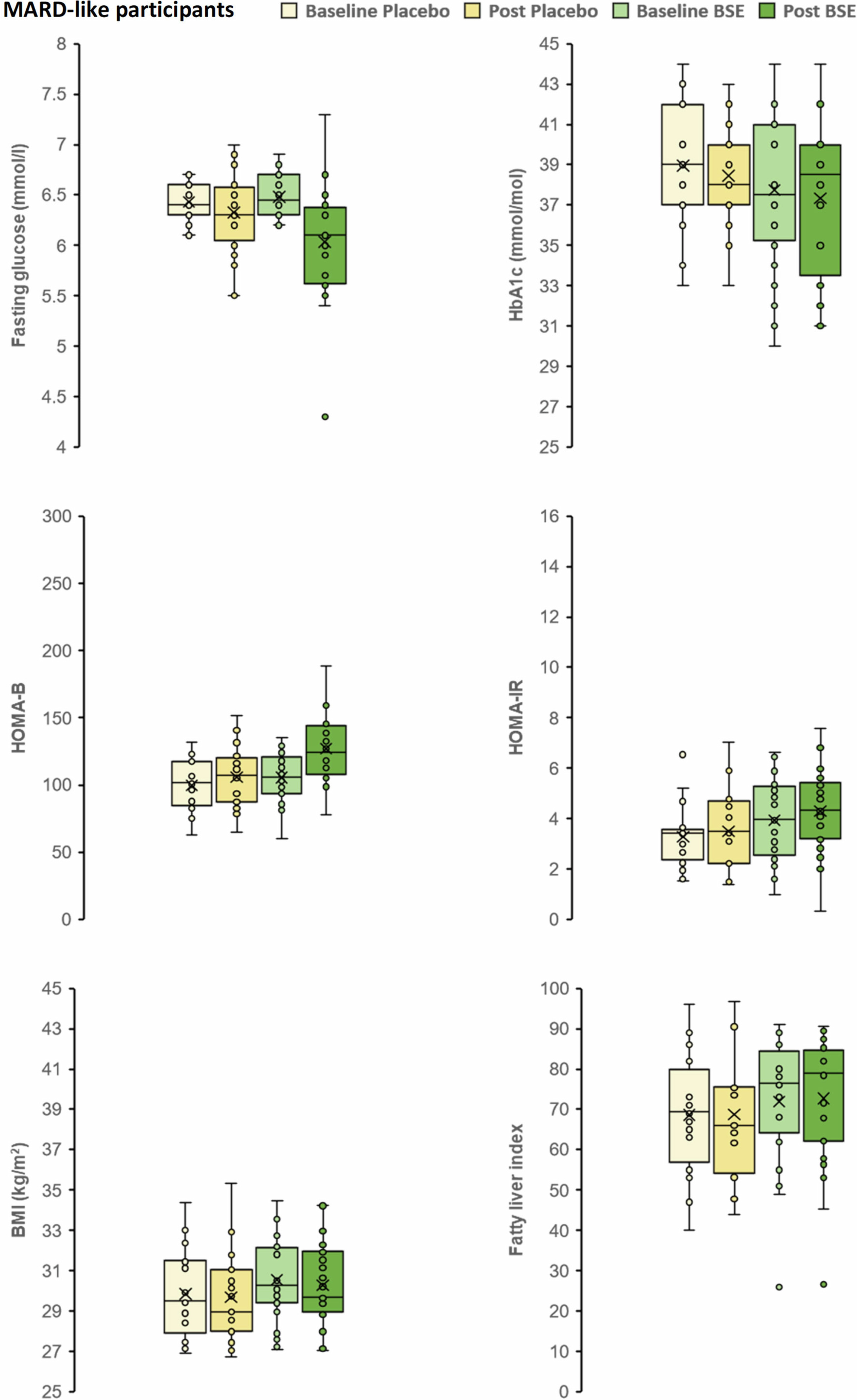
Extended Data Fig. 3: Distribution of primary and secondary variables in MARD-like participants.

Box plots show individual data points, medians (straight lines inside box) and means (cross marking) with hinges representing lower and upper quartile. Data are from baseline and post-treatment in the placebo (n = 20) and BSE (n = 24) groups of MARD participants. Individuals with similar values are represented by the same circle.