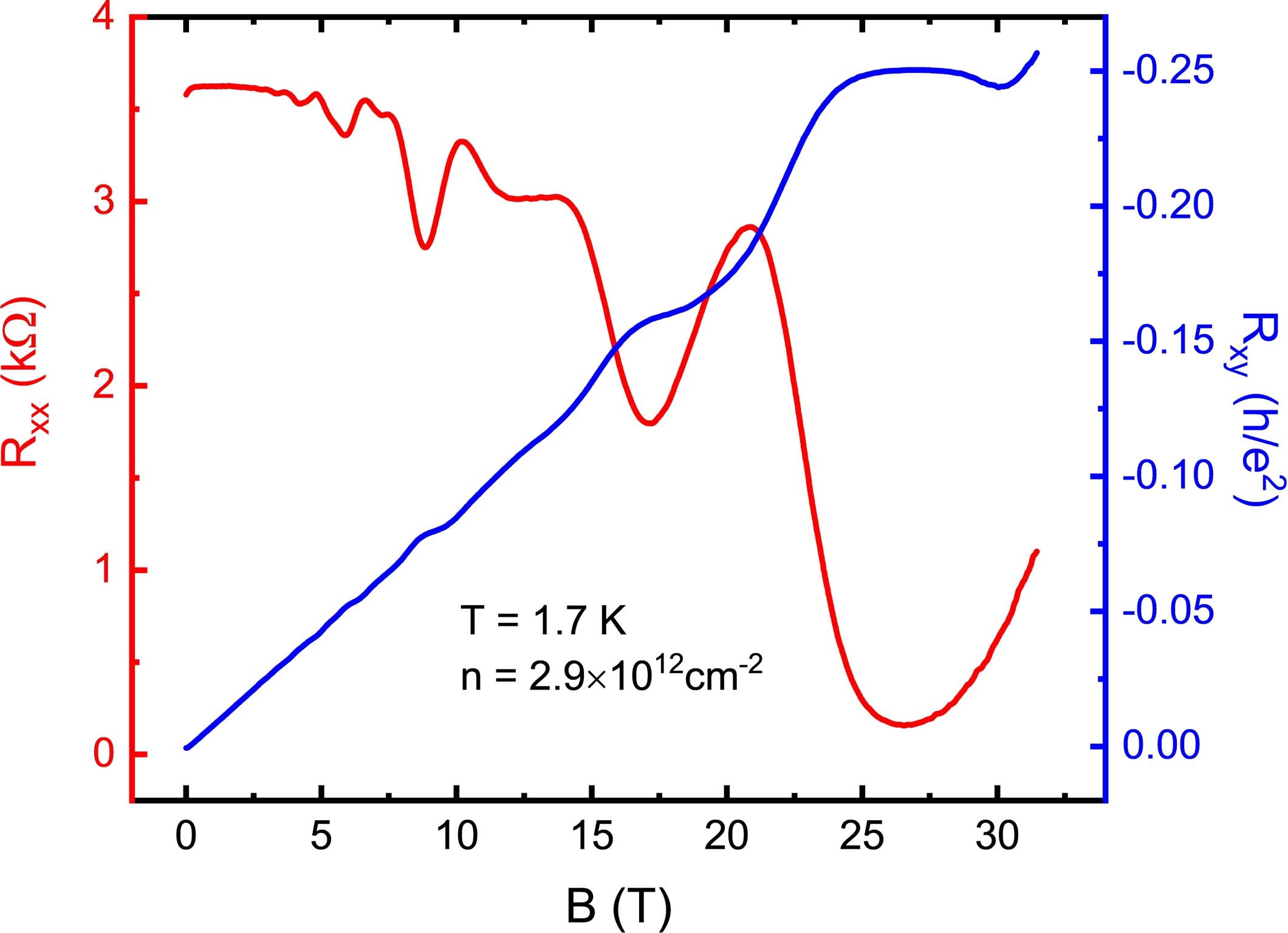
Extended Data Fig. 1: Quantum Hall effect of another high mobility sample.
From: Quantum Hall effect of Weyl fermions in n-type semiconducting tellurene

Longitudinal (Rxx, red) and transverse (Rxy, blue) resistance measured under magnetic field up to 31.4 T at 1.7 K.